
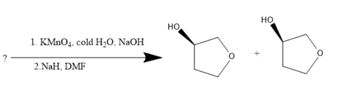
What starting material is needed to synthesize the following compounds?
Answer
490.2k+ views
Hint: Alkenes are unsaturated compounds consisting of double bonds and when alkenes treated with potassium permanganate, diols were formed. The potassium permanganate is an oxidizing agent. The diols formed when treated with sodium hydride, a base then the above products will be formed.
Complete answer:
Alkenes are unsaturated compounds due to the presence of double bonds. Alkenes when treated with potassium permanganate undergoes an additional reaction. The diols will be formed. Diol is a compound with two hydroxyl groups in the molecule. When this diol is treated with sodium hydride and dimethyl formamide, cyclisation occurs and oxygen atom goes into the ring and thus the compound formed has the hydroxyl substituent and cyclo butoxy compound.
Potassium permanganate is an oxidizing agent and sodium hydroxide is a strong base. Both these compounds are used for the diol’s formation. The sodium hydride belongs to the hydride family, a strong base and dimethylformamide can be used as a solvent.
The reaction will be as follows:
Thus, the starting material is an alkene with bromine as substituent.
Thus, \[1\]-bromo but- \[4\]-ene is the starting material.
So, the correct answer is “Option b”.
Note:
Alkenes are also known as olefins. Due to the presence of double bond, alkenes undergo addition reactions; the addition of potassium permanganate in presence of a base is an addition reaction to form diols. The diols further treatment with sodium hydride forms a cyclo alkoxy compound.
Complete answer:
Alkenes are unsaturated compounds due to the presence of double bonds. Alkenes when treated with potassium permanganate undergoes an additional reaction. The diols will be formed. Diol is a compound with two hydroxyl groups in the molecule. When this diol is treated with sodium hydride and dimethyl formamide, cyclisation occurs and oxygen atom goes into the ring and thus the compound formed has the hydroxyl substituent and cyclo butoxy compound.
Potassium permanganate is an oxidizing agent and sodium hydroxide is a strong base. Both these compounds are used for the diol’s formation. The sodium hydride belongs to the hydride family, a strong base and dimethylformamide can be used as a solvent.
The reaction will be as follows:
Thus, the starting material is an alkene with bromine as substituent.
Thus, \[1\]-bromo but- \[4\]-ene is the starting material.
So, the correct answer is “Option b”.
Note:
Alkenes are also known as olefins. Due to the presence of double bond, alkenes undergo addition reactions; the addition of potassium permanganate in presence of a base is an addition reaction to form diols. The diols further treatment with sodium hydride forms a cyclo alkoxy compound.
Recently Updated Pages
Why are manures considered better than fertilizers class 11 biology CBSE

Find the coordinates of the midpoint of the line segment class 11 maths CBSE

Distinguish between static friction limiting friction class 11 physics CBSE

The Chairman of the constituent Assembly was A Jawaharlal class 11 social science CBSE

The first National Commission on Labour NCL submitted class 11 social science CBSE

Number of all subshell of n + l 7 is A 4 B 5 C 6 D class 11 chemistry CBSE

Trending doubts
What is meant by exothermic and endothermic reactions class 11 chemistry CBSE

10 examples of friction in our daily life

One Metric ton is equal to kg A 10000 B 1000 C 100 class 11 physics CBSE

1 Quintal is equal to a 110 kg b 10 kg c 100kg d 1000 class 11 physics CBSE

Difference Between Prokaryotic Cells and Eukaryotic Cells

What are Quantum numbers Explain the quantum number class 11 chemistry CBSE

