
Show how would you synthesis the following alcohols from appropriate alkenes?
Answer
552k+ views
Hint: In order to answer the given question, we have to remember that the main chemical reactions which alkenes will be undergoing are the addition reactions. The addition reaction will convert the carbon-carbon double bond of alkenes into the carbon-carbon single bond when some other external functional group is added.
Complete Solution :
Let us first understand the addition reaction. Addition reaction is a chemical reaction which involves the conversion of the carbon-carbon double bond of alkenes into the carbon-carbon single bond when some other external functional group is added.
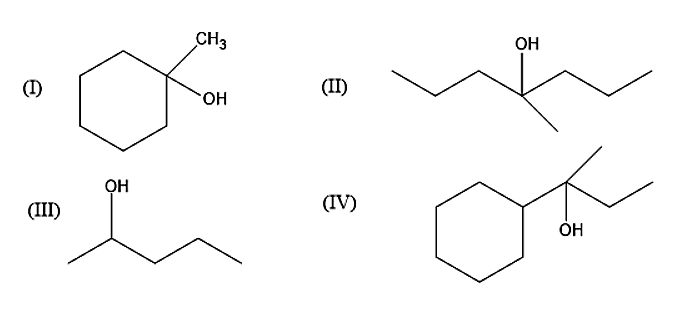
(I) Now let us move onto the question given. The first alcohol given is 1-Methylcyclohexan-1-ol. It can be prepared from two alkenes namely 1-Methylcyclohexene and Methylenecyclohexene. The addition of water molecules to these two alkenes will give 1-Methylcyclohexan-1-ol. When the water is added the Carbon-carbon double bond present in the alkenes will be converted into carbon-carbon single bond.
(II) The second alcohol given is the 4-Methyl cycloheptane-4-ol. The 4-Methyl cycloheptane-4-ol can be prepared from 4-Methyl hept-3-ene by the addition of water molecules.
(III) The third alcohol given is the pentan-2-ol. It can be obtained from two alkenes namely 1-Pentene and 2-Pentene. Addition of water molecules to these two alkenes will give Pentan-2-ol.
(IV) The fourth alcohol given is 2-Cyclohexyl Butan-2-ol. This alcohol can be prepared by the addition of water molecules to 2-Cyclohexyl But-2-ene.
Note: The other addition reaction which can take place in the alkene molecule are the following:
- Addition of hydrogen
- Addition of Halogen
- Addition of Hydrogen halide
Complete Solution :
Let us first understand the addition reaction. Addition reaction is a chemical reaction which involves the conversion of the carbon-carbon double bond of alkenes into the carbon-carbon single bond when some other external functional group is added.
(I) Now let us move onto the question given. The first alcohol given is 1-Methylcyclohexan-1-ol. It can be prepared from two alkenes namely 1-Methylcyclohexene and Methylenecyclohexene. The addition of water molecules to these two alkenes will give 1-Methylcyclohexan-1-ol. When the water is added the Carbon-carbon double bond present in the alkenes will be converted into carbon-carbon single bond.
(II) The second alcohol given is the 4-Methyl cycloheptane-4-ol. The 4-Methyl cycloheptane-4-ol can be prepared from 4-Methyl hept-3-ene by the addition of water molecules.
(III) The third alcohol given is the pentan-2-ol. It can be obtained from two alkenes namely 1-Pentene and 2-Pentene. Addition of water molecules to these two alkenes will give Pentan-2-ol.
(IV) The fourth alcohol given is 2-Cyclohexyl Butan-2-ol. This alcohol can be prepared by the addition of water molecules to 2-Cyclohexyl But-2-ene.
Note: The other addition reaction which can take place in the alkene molecule are the following:
- Addition of hydrogen
- Addition of Halogen
- Addition of Hydrogen halide
Recently Updated Pages
A man running at a speed 5 ms is viewed in the side class 12 physics CBSE

The number of solutions in x in 02pi for which sqrt class 12 maths CBSE

State and explain Hardy Weinbergs Principle class 12 biology CBSE

Write any two methods of preparation of phenol Give class 12 chemistry CBSE

Which of the following statements is wrong a Amnion class 12 biology CBSE

Differentiate between action potential and resting class 12 biology CBSE

Trending doubts
What are the major means of transport Explain each class 12 social science CBSE

Which are the Top 10 Largest Countries of the World?

Draw a labelled sketch of the human eye class 12 physics CBSE

Explain sex determination in humans with line diag class 12 biology CBSE

Explain sex determination in humans with the help of class 12 biology CBSE

Differentiate between homogeneous and heterogeneous class 12 chemistry CBSE

