
Reaction mechanism of sulphonation of benzene ring using dil. $ HCl $ and $ {H_2}S{O_4} $ around $ {150^ \circ }C $ ?
Answer
481.2k+ views
Hint: Benzene is an aromatic rings that has high electron density due to the conjugation of double bonds in a cyclic manner inside the ring. Benzene ring tends to undergo nucleophilic substitution reactions that makes the removal of the sulfonic acid group possible.
Complete Step By Step Answer:
Benzene can easily undergo a sulphonation reaction in the presence of sulphuric acid. The sulfonic group can be removed by acidic hydrolysis.
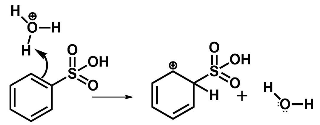
Acids like dilute sulphuric acid or hydrochloric acid at high temperatures, allow the desulphonation reaction to take place. The water molecule acts as a Bronsted base and abstracts a proton from the acidic medium. Thy hydronium ion formed as a result of acification acts as an electrophile.
The electron rich double bond of benzene gets attacked by the electrophile in such a manner that the hydrogen abstracted from hydronium ions is placed on the carbon atom containing sulfonic acid group and a resonance stabilized carbocation is formed at the adjacent carbon position. Water is formed as a byproduct.
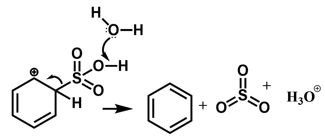
The next step involves the removal of the sulfonic group to regenerate the aromatic character. This is initiated by the nucleophilic attack of water molecules.
$ \Rightarrow $ As a result, the sulfonic acid group is removed in the form of sulphur trioxide and the benzene ring is regained.
Note:
The Sulphonation process is reversible in nature and therefore it is easy to remove the group. The attack of electrophile specifically shifts the electron density towards the sulfonic group containing carbon as it is an electron withdrawing group and a carbocation is more stable at the adjacent position.
Complete Step By Step Answer:
Benzene can easily undergo a sulphonation reaction in the presence of sulphuric acid. The sulfonic group can be removed by acidic hydrolysis.
Acids like dilute sulphuric acid or hydrochloric acid at high temperatures, allow the desulphonation reaction to take place. The water molecule acts as a Bronsted base and abstracts a proton from the acidic medium. Thy hydronium ion formed as a result of acification acts as an electrophile.
The electron rich double bond of benzene gets attacked by the electrophile in such a manner that the hydrogen abstracted from hydronium ions is placed on the carbon atom containing sulfonic acid group and a resonance stabilized carbocation is formed at the adjacent carbon position. Water is formed as a byproduct.
The next step involves the removal of the sulfonic group to regenerate the aromatic character. This is initiated by the nucleophilic attack of water molecules.
$ \Rightarrow $ As a result, the sulfonic acid group is removed in the form of sulphur trioxide and the benzene ring is regained.
Note:
The Sulphonation process is reversible in nature and therefore it is easy to remove the group. The attack of electrophile specifically shifts the electron density towards the sulfonic group containing carbon as it is an electron withdrawing group and a carbocation is more stable at the adjacent position.
Recently Updated Pages
Why are manures considered better than fertilizers class 11 biology CBSE

Find the coordinates of the midpoint of the line segment class 11 maths CBSE

Distinguish between static friction limiting friction class 11 physics CBSE

The Chairman of the constituent Assembly was A Jawaharlal class 11 social science CBSE

The first National Commission on Labour NCL submitted class 11 social science CBSE

Number of all subshell of n + l 7 is A 4 B 5 C 6 D class 11 chemistry CBSE

Trending doubts
1 Quintal is equal to a 110 kg b 10 kg c 100kg d 1000 class 11 physics CBSE

What is Environment class 11 chemistry CBSE

Bond order ofO2 O2+ O2 and O22 is in order A O2 langle class 11 chemistry CBSE

How many squares are there in a chess board A 1296 class 11 maths CBSE

Distinguish between verbal and nonverbal communica class 11 english CBSE

The equivalent weight of Mohrs salt FeSO4 NH42SO4 6H2O class 11 chemistry CBSE

