
What is the product in the following reaction?
(A)
(B)
(C)
(D)
Answer
548.1k+ views
Hint:One of the given compounds contains a primary amine and the other contains two ketone groups. This primary amine group can easily react with one of the oxygen atoms in the ketone group and eliminate one water molecule. Further check whether the formed intermediate is stable and any requirement of rearrangement.
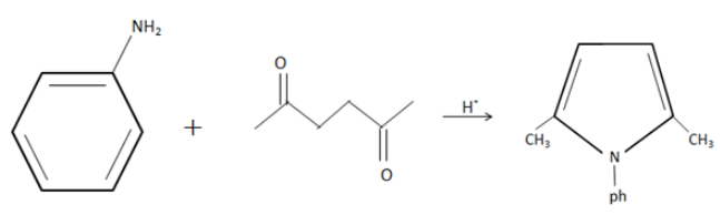
Complete answer:We have an \[ - N{H_2}\] group in aniline and two ketone groups in $2,5 - diketone$ .
The $ - N{H_2}$ group can actively react with one of the ketone groups to eliminate water and form a primary imine as an intermediate. An imine is a $ - C = N - R$ , here $R$ is our phenyl group.
We can rearrange this intermediate to eliminate the other oxygen and form a cyclic ring containing $N - ph$ group. This results in the formation of a pyrrole. From this, we can understand that this is a condensation reaction.
The condensation of aniline with $2,5 - hexanedione$ to form $2,5 - dimethyl - 1 - phenylpyrrole$ is an example of Paal-Knorr synthesis.
We can write an equation for this reaction as follows:
Additional information: Paal-Knorr Pyrrole Synthesis is the condensation of a 1,4-dicarbonyl compound with an excess amount of a primary amine or ammonia to produce a pyrrole. This reaction generates furans, pyrroles and thiophenes.
Therefore the product formed in our given reaction is $2,5 - dimethyl - 1 - phenylpyrrole$ i.e, option D.
Note:The given reaction is an example for Paal-Knorr synthesis. In this reaction, we are using a primary aniline group to react with a diketone to form a pyrrole. This reaction occurs in an acidic medium and the product formed in this reaction is \[2,5 - dimethyl - 1 - phenylpyrrole\] .
Complete answer:We have an \[ - N{H_2}\] group in aniline and two ketone groups in $2,5 - diketone$ .
The $ - N{H_2}$ group can actively react with one of the ketone groups to eliminate water and form a primary imine as an intermediate. An imine is a $ - C = N - R$ , here $R$ is our phenyl group.
We can rearrange this intermediate to eliminate the other oxygen and form a cyclic ring containing $N - ph$ group. This results in the formation of a pyrrole. From this, we can understand that this is a condensation reaction.
The condensation of aniline with $2,5 - hexanedione$ to form $2,5 - dimethyl - 1 - phenylpyrrole$ is an example of Paal-Knorr synthesis.
We can write an equation for this reaction as follows:
Additional information: Paal-Knorr Pyrrole Synthesis is the condensation of a 1,4-dicarbonyl compound with an excess amount of a primary amine or ammonia to produce a pyrrole. This reaction generates furans, pyrroles and thiophenes.
Therefore the product formed in our given reaction is $2,5 - dimethyl - 1 - phenylpyrrole$ i.e, option D.
Note:The given reaction is an example for Paal-Knorr synthesis. In this reaction, we are using a primary aniline group to react with a diketone to form a pyrrole. This reaction occurs in an acidic medium and the product formed in this reaction is \[2,5 - dimethyl - 1 - phenylpyrrole\] .
Recently Updated Pages
Master Class 12 Business Studies: Engaging Questions & Answers for Success

Master Class 12 Economics: Engaging Questions & Answers for Success

Master Class 12 English: Engaging Questions & Answers for Success

Master Class 12 Maths: Engaging Questions & Answers for Success

Master Class 12 Social Science: Engaging Questions & Answers for Success

Master Class 12 Chemistry: Engaging Questions & Answers for Success

Trending doubts
What are the major means of transport Explain each class 12 social science CBSE

Which are the Top 10 Largest Countries of the World?

Draw a labelled sketch of the human eye class 12 physics CBSE

How much time does it take to bleed after eating p class 12 biology CBSE

Explain sex determination in humans with line diag class 12 biology CBSE

Differentiate between homogeneous and heterogeneous class 12 chemistry CBSE

