
How to prepare 1-phenyl-3-methyl-2-butanol?
Answer
527.4k+ views
Hint: Aromatic compounds (benzene) can have carbon chain added through Friedal-crafts reactions. Organolithium reagents help in nucleophilic addition reactions. Sodium borohydrides are used as reducing agents for carbonyl compounds.
Complete answer:
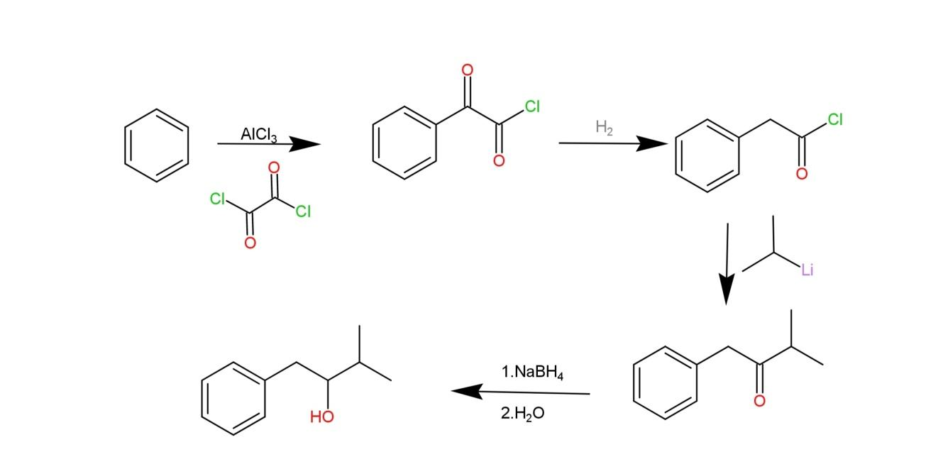
We have been given to write about the preparation method of 1-phenyl-3-methyl-2-butanol. As the name suggests, this compound contains a benzene ring with a 4-carbon chain on the first carbon of benzene. This 4-carbon chain has a methyl group on carbon-3 and a hydroxyl group on carbon-2, which makes it a secondary alcohol.
The preparation of 1-phenyl-3-methyl-2-butanol involves friedel-craft acylation of benzene employing a catalyst used to synthesis organic compounds called oxalyl chloride\[(COC{{l}_{2}})\] that helps its formation into a carbon chain on position-1. Then the carbonyl adjacent from the benzene on this carbon chain is reduced, while the other carbonyl is unaffected. Then an organolithium reagent $({{C}_{3}}{{H}_{8}}Li)$ is used to carry a nucleophilic addition that removes the chloride group. The last step involves the use of a reducing agent, sodium borohydride $(NaB{{H}_{4}})$ and water that converts the carbonyl into secondary alcohol. Water helps in the addition of the hydrogen to the oxygen anion. The reaction is as follows:
Hence, through the above reaction we can prepare 1-phenyl-3-methyl-2-butanol.
Note:
Friedel-crafts acylation is used in this reaction because; we have to obtain a secondary alcohol, which can be formed from the acyl group. While, friedel-crafts alkylation will be involved if we have to add up only a carbon chain to the benzene ring.
Complete answer:
We have been given to write about the preparation method of 1-phenyl-3-methyl-2-butanol. As the name suggests, this compound contains a benzene ring with a 4-carbon chain on the first carbon of benzene. This 4-carbon chain has a methyl group on carbon-3 and a hydroxyl group on carbon-2, which makes it a secondary alcohol.
The preparation of 1-phenyl-3-methyl-2-butanol involves friedel-craft acylation of benzene employing a catalyst used to synthesis organic compounds called oxalyl chloride\[(COC{{l}_{2}})\] that helps its formation into a carbon chain on position-1. Then the carbonyl adjacent from the benzene on this carbon chain is reduced, while the other carbonyl is unaffected. Then an organolithium reagent $({{C}_{3}}{{H}_{8}}Li)$ is used to carry a nucleophilic addition that removes the chloride group. The last step involves the use of a reducing agent, sodium borohydride $(NaB{{H}_{4}})$ and water that converts the carbonyl into secondary alcohol. Water helps in the addition of the hydrogen to the oxygen anion. The reaction is as follows:
Hence, through the above reaction we can prepare 1-phenyl-3-methyl-2-butanol.
Note:
Friedel-crafts acylation is used in this reaction because; we have to obtain a secondary alcohol, which can be formed from the acyl group. While, friedel-crafts alkylation will be involved if we have to add up only a carbon chain to the benzene ring.
Recently Updated Pages
The number of solutions in x in 02pi for which sqrt class 12 maths CBSE

Write any two methods of preparation of phenol Give class 12 chemistry CBSE

Differentiate between action potential and resting class 12 biology CBSE

Two plane mirrors arranged at right angles to each class 12 physics CBSE

Which of the following molecules is are chiral A I class 12 chemistry CBSE

Name different types of neurons and give one function class 12 biology CBSE

Trending doubts
An example of chemosynthetic bacteria is A E coli B class 11 biology CBSE

Name the metals and nonmetals in the first twenty class 11 chemistry CBSE

Which one of the following is not a method of soil class 11 biology CBSE

What is the nature of force between two parallel conductors class 11 physics CBSE

Whiptails disease in cauliflower is noted due to deficiency class 11 biology CBSE

How do I convert ms to kmh Give an example class 11 physics CBSE

