
Ortho,para-bromoanisole$+NaN{{H}_{2}}~+N{{H}_{3~(liq.)}} $ ? How do you predict the product?
Answer
525.9k+ views
Hint :Benzene mechanism is followed in this reaction. It is formed as benzene then further reaction occurs. Ortho, para-bromoanisole is an electron withdrawing group, it undergoes electrophilic substitution. The halogenation will take place only at the ortho and para positions for anisole and not at the meta position
Complete Step By Step Answer:
We know that these are the reaction conditions for generating benzene intermediates. The reaction of ortho-bromoanisole with potassium amide in liquid ammonia (b. p. $ -33\text{ }{}^\circ C $ ) is extremely rapid.
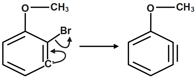
Step1: The amide ion attacks the $ H $ atom that is ortho to $ C3 $ , generating a carbanion.
Step2: Loss of $ B{{r}^{-}}~ $ to form a benzene intermediate.
The elimination is by an $ E2cb $ pathway.
Step3: Addition of $ N{{H}^{-2}}. $ The strain caused by a triple bond in a benzene ring can be relieved by a nucleophilic addition $ \left( AdN \right) $ of $ N{{H}^{-2}}. $ The methoxy group is electron-withdrawing by induction, so the nucleophile will attack $ C3 $ to place the carbanion as close as possible to the methoxy group.
Step4: Protonation of the carbanion.
The product is meta-methoxyaniline or para-Bromoanisole
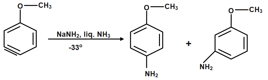
The reaction with para-bromoanisole also follows a benzene mechanism.
Step5: The nucleophile can attack either end of the triple bond, and the methoxy group is far enough away that its inductive effects are minimal.
The product is a mixture of para- and meta-methoxyaniline.
Here, we get two products para- and meta-methoxyaniline. Among these two, as we can see para-bromoanisole is the major product and the yield is around 90% for it and the ortho-bromoanisole is the minor product with a very low yield. This is due to the steric hindrance in the ortho position as a bulky methoxy group is attached to the benzene ring.
Note :
As we can see in the above discussion we mentioned that electron withdrawing groups increase the electron density at ortho and para position but the reason behind it can be understood from the resonance hybrid structures of anisole. This is a nucleophilic reaction following the benzene mechanism.
Complete Step By Step Answer:
We know that these are the reaction conditions for generating benzene intermediates. The reaction of ortho-bromoanisole with potassium amide in liquid ammonia (b. p. $ -33\text{ }{}^\circ C $ ) is extremely rapid.
Step1: The amide ion attacks the $ H $ atom that is ortho to $ C3 $ , generating a carbanion.
Step2: Loss of $ B{{r}^{-}}~ $ to form a benzene intermediate.
The elimination is by an $ E2cb $ pathway.
Step3: Addition of $ N{{H}^{-2}}. $ The strain caused by a triple bond in a benzene ring can be relieved by a nucleophilic addition $ \left( AdN \right) $ of $ N{{H}^{-2}}. $ The methoxy group is electron-withdrawing by induction, so the nucleophile will attack $ C3 $ to place the carbanion as close as possible to the methoxy group.
Step4: Protonation of the carbanion.
The product is meta-methoxyaniline or para-Bromoanisole
The reaction with para-bromoanisole also follows a benzene mechanism.
Step5: The nucleophile can attack either end of the triple bond, and the methoxy group is far enough away that its inductive effects are minimal.
The product is a mixture of para- and meta-methoxyaniline.
Here, we get two products para- and meta-methoxyaniline. Among these two, as we can see para-bromoanisole is the major product and the yield is around 90% for it and the ortho-bromoanisole is the minor product with a very low yield. This is due to the steric hindrance in the ortho position as a bulky methoxy group is attached to the benzene ring.
Note :
As we can see in the above discussion we mentioned that electron withdrawing groups increase the electron density at ortho and para position but the reason behind it can be understood from the resonance hybrid structures of anisole. This is a nucleophilic reaction following the benzene mechanism.
Recently Updated Pages
The number of solutions in x in 02pi for which sqrt class 12 maths CBSE

Write any two methods of preparation of phenol Give class 12 chemistry CBSE

Differentiate between action potential and resting class 12 biology CBSE

Two plane mirrors arranged at right angles to each class 12 physics CBSE

Which of the following molecules is are chiral A I class 12 chemistry CBSE

Name different types of neurons and give one function class 12 biology CBSE

Trending doubts
Which are the Top 10 Largest Countries of the World?

What are the major means of transport Explain each class 12 social science CBSE

Draw a labelled sketch of the human eye class 12 physics CBSE

Differentiate between insitu conservation and exsitu class 12 biology CBSE

The computer jargonwwww stands for Aworld wide web class 12 physics CBSE

State the principle of an ac generator and explain class 12 physics CBSE

