
How do you name cycloalkanes with halogens?
Answer
529.5k+ views
Hint :Cycloalkanes are basically cyclic hydrocarbons means that the carbon of the cycloalkane is arranged in a ring form. Cycloalkanes are a class of organic compounds and we know that for nomenclature or naming of any organic compounds we need to follow the rules specified by the IUPAC.
Complete Step By Step Answer:
Let us see how we can do the nomenclature of the cycloalkanes which contains the halogen in them as a substituent or functional group.
Rule 1: Determine the parent chain. This is the basic step for nomenclature of all cycloalkanes irrespective of the substituent attached to them. A parent chain is the one which has the highest number of carbon atoms.
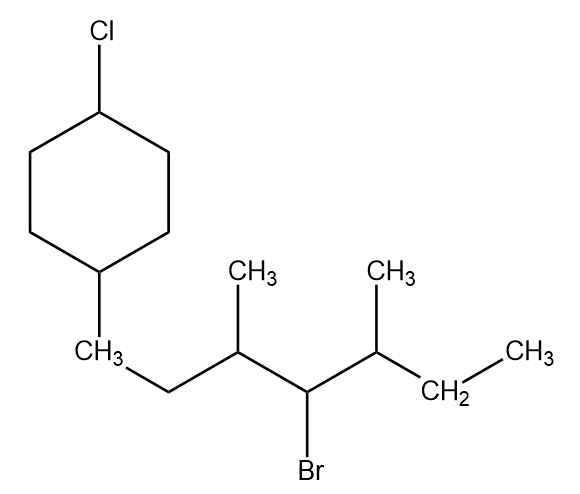
Here, in the above compounds the cycloalkane is itself the longest chain and hence it will be considered.
Rule 2: If there is a straight chain attached with the cycloalkanes and that chain has greater number of carbon atoms as compared to the cycloalkane form, then consider the straight chain for the numbering. Always remember that cycloalkane which acts as substituent for the alkyl straight chain has an ending with ‘’-yl’’ and, hence it is named as cycloalkyl.
In the above compound we can see that the straight chain has seven carbon atoms whereas the ring has only six, hence the chain is favored as compared to ring.
Rule 3: Next step is to determine any substituents/functional group (here halogen) attached to the compound.
In this compound, there are two substituents. The first is the chlorine atom and the other is the ethane. Now while naming we need to change the name of substituents. Chlorine will change to chloro and ethane will be written as ethyl.
Rule 4: Now, Start numbering the carbon chain, in such a way that the carbon with functional group (here halogen) or alkyl substituents gets the lowest number. Always remember that a carbon with multiple substituents should have a lower number as compared to the carbon with only one functional group or substituents.
In the above example we did numbering in such a way that substituents got the lowest number possible.
Rule 6: When you name the cycloalkanes then the substituents should be named in alphabetical order.
We see that in the above compound chlorine is present at first carbon, and ethyl group is present at fourth carbon. Also, alphabetically we know C comes before E. so, choro will be written before ethyl.
Rule 7: When there are two same halogen groups attached then we use the term ‘’di’’ for three such groups we use the term ‘’tri’’ and so on.
Rule 8: Always remember that a dash should be placed between the name and the number of the substituents.
Therefore, the final IUPAC name of this compound will be ${\text{1 - chloro,4 - ethyl cyclohexane}}$
Hence, we saw the rules to write the name of a cycloalkane in which a halogen atom is attached with the help of an example.
Note :
Always remember that whenever a compound contains more than one cycloalkane ring then always consider the ring with maximum number of carbon atoms for numbering. While numbering, see every possible chain or ring which contains the maximum number of atoms and then choose wisely.
Complete Step By Step Answer:
Let us see how we can do the nomenclature of the cycloalkanes which contains the halogen in them as a substituent or functional group.
Rule 1: Determine the parent chain. This is the basic step for nomenclature of all cycloalkanes irrespective of the substituent attached to them. A parent chain is the one which has the highest number of carbon atoms.
Here, in the above compounds the cycloalkane is itself the longest chain and hence it will be considered.
Rule 2: If there is a straight chain attached with the cycloalkanes and that chain has greater number of carbon atoms as compared to the cycloalkane form, then consider the straight chain for the numbering. Always remember that cycloalkane which acts as substituent for the alkyl straight chain has an ending with ‘’-yl’’ and, hence it is named as cycloalkyl.
In the above compound we can see that the straight chain has seven carbon atoms whereas the ring has only six, hence the chain is favored as compared to ring.
Rule 3: Next step is to determine any substituents/functional group (here halogen) attached to the compound.
In this compound, there are two substituents. The first is the chlorine atom and the other is the ethane. Now while naming we need to change the name of substituents. Chlorine will change to chloro and ethane will be written as ethyl.
Rule 4: Now, Start numbering the carbon chain, in such a way that the carbon with functional group (here halogen) or alkyl substituents gets the lowest number. Always remember that a carbon with multiple substituents should have a lower number as compared to the carbon with only one functional group or substituents.
In the above example we did numbering in such a way that substituents got the lowest number possible.
Rule 6: When you name the cycloalkanes then the substituents should be named in alphabetical order.
We see that in the above compound chlorine is present at first carbon, and ethyl group is present at fourth carbon. Also, alphabetically we know C comes before E. so, choro will be written before ethyl.
Rule 7: When there are two same halogen groups attached then we use the term ‘’di’’ for three such groups we use the term ‘’tri’’ and so on.
Rule 8: Always remember that a dash should be placed between the name and the number of the substituents.
Therefore, the final IUPAC name of this compound will be ${\text{1 - chloro,4 - ethyl cyclohexane}}$
Hence, we saw the rules to write the name of a cycloalkane in which a halogen atom is attached with the help of an example.
Note :
Always remember that whenever a compound contains more than one cycloalkane ring then always consider the ring with maximum number of carbon atoms for numbering. While numbering, see every possible chain or ring which contains the maximum number of atoms and then choose wisely.
Recently Updated Pages
Why are manures considered better than fertilizers class 11 biology CBSE

Find the coordinates of the midpoint of the line segment class 11 maths CBSE

Distinguish between static friction limiting friction class 11 physics CBSE

The Chairman of the constituent Assembly was A Jawaharlal class 11 social science CBSE

The first National Commission on Labour NCL submitted class 11 social science CBSE

Number of all subshell of n + l 7 is A 4 B 5 C 6 D class 11 chemistry CBSE

Trending doubts
Differentiate between an exothermic and an endothermic class 11 chemistry CBSE

10 examples of friction in our daily life

One Metric ton is equal to kg A 10000 B 1000 C 100 class 11 physics CBSE

Difference Between Prokaryotic Cells and Eukaryotic Cells

State the laws of reflection of light

Explain zero factorial class 11 maths CBSE

