
Maltose on hydrolysis gives
A) Mannose +glucose
B) Galactose+glucose
C) Glucose
D) Mannose fructose
Answer
556.8k+ views
Hint:Maltose is also known as malt sugar. It is a disaccharide, made up of two D - glucose units. The two units of glucose are linked with an alpha 1,4 glycosidic bond. Maltose dissociates it into its monosaccharide after hydrolysis. Using the hydrolysis reaction of maltose we can determine the products.
Complete step-by-step answer:
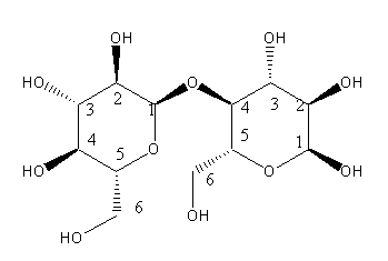
Maltose is a disaccharide made up of two alpha D -glucose in which \[{\text{C1}}\]of the first glucose unit is bonded to \[{\text{C4}}\] of the second glucose unit. The bond that joined two alpha glucose units is called 1, 4 glycosidic linkages.
The structure of maltose is as follows:
The molecular formula of maltose is\[{{\text{C}}_{{\text{12}}}}{{\text{H}}_{{\text{22}}}}{{\text{O}}_{{\text{11}}}}\]. Hydrolysis of maltose in presence of maltase enzyme breaks the 1, 4 glycosidic linkage and gives two molecules of D-glucose. The hydrolysis reaction of maltose is as follows:
\[{{\text{C}}_{{\text{12}}}}{{\text{H}}_{{\text{22}}}}{{\text{O}}_{{\text{11}}}} + {{\text{H}}_{\text{2}}}{\text{O}}\xrightarrow{{{\text{Maltase}}}}2{{\text{C}}_6}{{\text{H}}_{{\text{12}}}}{{\text{O}}_6}\]
Maltose D-glucose
Additional Information: Maltose is not used as a sweetener as it is less sweet. It is used to produce alcohol. It is intermediate sugar. It is a basic molecule of starch. It is produced by the digestion of starch.
Thus, the correct option is (C) glucose.
Note:Monosaccharide of maltose is alpha D -glucose. Maltose is formed by alpha 1, 4 glycosidic linkages of two alpha D glucose units. Hydrolysis is a reaction with water. Hydrolysis of maltose dissociates the glycosidic bond and converts disaccharides into monosaccharides. The monosaccharide of maltose is the glucose unit. The enzyme maltase is used as a catalyst in the hydrolysis reaction.
Complete step-by-step answer:
Maltose is a disaccharide made up of two alpha D -glucose in which \[{\text{C1}}\]of the first glucose unit is bonded to \[{\text{C4}}\] of the second glucose unit. The bond that joined two alpha glucose units is called 1, 4 glycosidic linkages.
The structure of maltose is as follows:
The molecular formula of maltose is\[{{\text{C}}_{{\text{12}}}}{{\text{H}}_{{\text{22}}}}{{\text{O}}_{{\text{11}}}}\]. Hydrolysis of maltose in presence of maltase enzyme breaks the 1, 4 glycosidic linkage and gives two molecules of D-glucose. The hydrolysis reaction of maltose is as follows:
\[{{\text{C}}_{{\text{12}}}}{{\text{H}}_{{\text{22}}}}{{\text{O}}_{{\text{11}}}} + {{\text{H}}_{\text{2}}}{\text{O}}\xrightarrow{{{\text{Maltase}}}}2{{\text{C}}_6}{{\text{H}}_{{\text{12}}}}{{\text{O}}_6}\]
Maltose D-glucose
Additional Information: Maltose is not used as a sweetener as it is less sweet. It is used to produce alcohol. It is intermediate sugar. It is a basic molecule of starch. It is produced by the digestion of starch.
Thus, the correct option is (C) glucose.
Note:Monosaccharide of maltose is alpha D -glucose. Maltose is formed by alpha 1, 4 glycosidic linkages of two alpha D glucose units. Hydrolysis is a reaction with water. Hydrolysis of maltose dissociates the glycosidic bond and converts disaccharides into monosaccharides. The monosaccharide of maltose is the glucose unit. The enzyme maltase is used as a catalyst in the hydrolysis reaction.
Recently Updated Pages
A man running at a speed 5 ms is viewed in the side class 12 physics CBSE

State and explain Hardy Weinbergs Principle class 12 biology CBSE

Which of the following statements is wrong a Amnion class 12 biology CBSE

Two Planoconcave lenses 1 and 2 of glass of refractive class 12 physics CBSE

The compound 2 methyl 2 butene on reaction with NaIO4 class 12 chemistry CBSE

Bacterial cell wall is made up of A Cellulose B Hemicellulose class 12 biology CBSE

Trending doubts
What are the major means of transport Explain each class 12 social science CBSE

Which are the Top 10 Largest Countries of the World?

Explain sex determination in humans with line diag class 12 biology CBSE

Draw a labelled sketch of the human eye class 12 physics CBSE

How much time does it take to bleed after eating p class 12 biology CBSE

Suicide bags of cells are aEndoplasmic reticulum bLysosome class 12 biology CBSE

