
How to make anhydride from carboxylic acid?
Answer
530.1k+ views
Hint: When a water molecule is removed from any acid molecule, the product that we get is known as an anhydride. In organic acid anhydride, there are two acyl groups (R-C=O) bonded to the same oxygen atom. Its generic structure is
Complete step-by-step answer: The anhydride obtained from carboxylic acid is one of the most common types of organic acid anhydride. It is also known as carboxylic anhydride. The molecular formula of carboxylic anhydride is ${{(RC(O))}_{2}}O$.
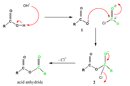
Formation of acid anhydrides from carboxylic acid occurs when the carboxylic acid reacts with an acid chloride in the presence of a base.
Mechanism of synthesis of carboxylic anhydride from acid chloride:
- In the carboxylic acid synthesis, addition-elimination mechanism is followed.
- Chloride anion $(C{{l}^{-}})$ acts as a leaving group.
- First, a proton is extracted by the base from carboxylic acid and forms carboxylate anion.
- The negatively charged oxygen of the carboxylate anion attacks the carbonyl carbon of acyl chloride, which is electrophilic in nature, and forms a tetrahedral intermediate.
- Lastly, the tetrahedral intermediate eliminates the chloride anion to form acid anhydride.
Hence by adding acid anhydride to a carboxylic acid, in the presence of a strong base, acid anhydride can be obtained.
Note: While naming the acid anhydrides, it is important to note that in an unsymmetrical acid anhydride, both of the carboxylic acids reacted must be named before adding the word anhydride. Whereas in symmetrical acid anhydride, simply renaming the word "acid" to "anhydride" of the parent carboxylic acid would suffice.
Complete step-by-step answer: The anhydride obtained from carboxylic acid is one of the most common types of organic acid anhydride. It is also known as carboxylic anhydride. The molecular formula of carboxylic anhydride is ${{(RC(O))}_{2}}O$.
Formation of acid anhydrides from carboxylic acid occurs when the carboxylic acid reacts with an acid chloride in the presence of a base.
Mechanism of synthesis of carboxylic anhydride from acid chloride:
- In the carboxylic acid synthesis, addition-elimination mechanism is followed.
- Chloride anion $(C{{l}^{-}})$ acts as a leaving group.
- First, a proton is extracted by the base from carboxylic acid and forms carboxylate anion.
- The negatively charged oxygen of the carboxylate anion attacks the carbonyl carbon of acyl chloride, which is electrophilic in nature, and forms a tetrahedral intermediate.
- Lastly, the tetrahedral intermediate eliminates the chloride anion to form acid anhydride.
Hence by adding acid anhydride to a carboxylic acid, in the presence of a strong base, acid anhydride can be obtained.
Note: While naming the acid anhydrides, it is important to note that in an unsymmetrical acid anhydride, both of the carboxylic acids reacted must be named before adding the word anhydride. Whereas in symmetrical acid anhydride, simply renaming the word "acid" to "anhydride" of the parent carboxylic acid would suffice.
Recently Updated Pages
The number of solutions in x in 02pi for which sqrt class 12 maths CBSE

Write any two methods of preparation of phenol Give class 12 chemistry CBSE

Differentiate between action potential and resting class 12 biology CBSE

Two plane mirrors arranged at right angles to each class 12 physics CBSE

Which of the following molecules is are chiral A I class 12 chemistry CBSE

Name different types of neurons and give one function class 12 biology CBSE

Trending doubts
Which are the Top 10 Largest Countries of the World?

What are the major means of transport Explain each class 12 social science CBSE

Draw a labelled sketch of the human eye class 12 physics CBSE

Differentiate between insitu conservation and exsitu class 12 biology CBSE

State the principle of an ac generator and explain class 12 physics CBSE

Differentiate between homogeneous and heterogeneous class 12 chemistry CBSE

