
How many ketones are possible with the molecular formula\[{C_6}{H_{12}}O\] ?
A) \[5\]
B) \[6\]
C) \[7\]
D) \[8\]
Answer
547.5k+ views
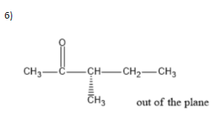
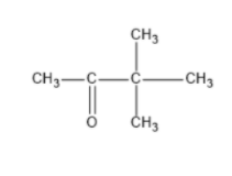
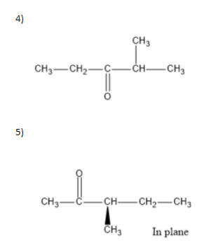
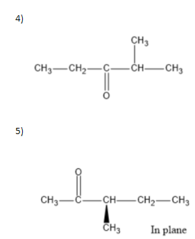
Hint: To answer the question we need to know how we can draw structures from a given molecular formula. Utilizing evenness, and the way that it should be a ketone, the carbonyl group can just move between carbons \[2\] and\[3\]. That makes for the initial two isomers. Two additional isomers include moving the terminal methyl bunch up one to carbon\[4\]. Two additional isomers include moving the terminal methyl bunch up one to carbon\[4\]. The fifth and 6th isomers are enantiomers, the highest point of which is \[R\] and the lower part of which is\[S\]. The thought was to move the methyl bunch up one more to carbon\[3\], making a sec-butyl bunch off of\[{(C{H_3})_2}CO\]. The seventh isomer was essentially to make a tert-butyl bunch hanging off of\[{(C{H_3})_2}CO\].
Complete step-by-step answer:
The simplest complex ketone is\[C{H_3} - C( = O) - C{H_3}\]. Its atomic formula is\[{C_3}{H_6}O\]. From this formula, we can say that for "\[n\]" carbon iotas we need "\[2n\]" hydrogen molecules and an oxygen particle. Henceforth the overall recipe of the ketone is\[{C_n}{H_{2n}}O\].
Keto group contains a carboxyl gathering which has two alkyl bunches connected to it each on one or the other side. Primary formula: $R - {C = O} - {R^1}$. Aldehydes and ketones are natural mixes that join a carbonyl functional group,\[C = O\].
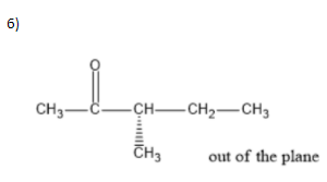
We can write seven ketone structures with the molecular formula\[{C_6}{H_{12}}O\].
7)
Note: We know that a carbonyl group can only exist at spots that give a \[s{p^2}\] hybridization, so there is no structure for the carbonyl on carbon \[3\] when carbon \[3\] has a tert-butyl group. Similarly, there is no structure for which the carbonyl is on carbon \[3\] while the sec-butyl is also on carbon\[3\].
Complete step-by-step answer:
The simplest complex ketone is\[C{H_3} - C( = O) - C{H_3}\]. Its atomic formula is\[{C_3}{H_6}O\]. From this formula, we can say that for "\[n\]" carbon iotas we need "\[2n\]" hydrogen molecules and an oxygen particle. Henceforth the overall recipe of the ketone is\[{C_n}{H_{2n}}O\].
Keto group contains a carboxyl gathering which has two alkyl bunches connected to it each on one or the other side. Primary formula: $R - {C = O} - {R^1}$. Aldehydes and ketones are natural mixes that join a carbonyl functional group,\[C = O\].
We can write seven ketone structures with the molecular formula\[{C_6}{H_{12}}O\].
7)
Note: We know that a carbonyl group can only exist at spots that give a \[s{p^2}\] hybridization, so there is no structure for the carbonyl on carbon \[3\] when carbon \[3\] has a tert-butyl group. Similarly, there is no structure for which the carbonyl is on carbon \[3\] while the sec-butyl is also on carbon\[3\].
Recently Updated Pages
Why are manures considered better than fertilizers class 11 biology CBSE

Find the coordinates of the midpoint of the line segment class 11 maths CBSE

Distinguish between static friction limiting friction class 11 physics CBSE

The Chairman of the constituent Assembly was A Jawaharlal class 11 social science CBSE

The first National Commission on Labour NCL submitted class 11 social science CBSE

Number of all subshell of n + l 7 is A 4 B 5 C 6 D class 11 chemistry CBSE

Trending doubts
Differentiate between an exothermic and an endothermic class 11 chemistry CBSE

10 examples of friction in our daily life

One Metric ton is equal to kg A 10000 B 1000 C 100 class 11 physics CBSE

Difference Between Prokaryotic Cells and Eukaryotic Cells

1 Quintal is equal to a 110 kg b 10 kg c 100kg d 1000 class 11 physics CBSE

State the laws of reflection of light

