
Inulin is a polymer of ……………………
A.Fructose
B.Glucose
C.Sucrose
D.Xylose
Answer
574.2k+ views
Hint: Insulins are polymers composed mainly of fructose units, and typically have a terminal glucose. The fructose units in insulins are joined by a β(2→1) glycosidic bond.
Complete step-by-step answer:
1.The carbohydrates are of three main types: monosaccharide, oligosaccharides, and polysaccharides.
2.The latter two are together known as compound carbohydrates because they are made of a few to numerous monosaccharide units. Inulins are polysaccharides.
3.The chemical formula of inulin C6nH10n+2O5n+1.
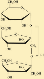
4.Inulin is a heterogeneous collection of fructose polymers.
5.It consists of chain-terminating glucose moieties and a repetitive fructose moiety which are linked by β (2,1) bonds.
6.Because of the β (2,1) linkages, inulin is not digested by enzymes in the alimentary canal.
So the correct answer is option C. Fructose.
Additional information:
Polysaccharides: They are long chains of sugars. The polysaccharides consist of more than six (often numerous) molecules of a monosaccharide (usually glucose). The latter are joined together by glycosidic bonds with a loss of water each time a monosaccharide is added.
The number of constituent monosaccharide molecules is not known.
Some polysaccharides form an ideal storage product because of many advantages: (a) their formation from monosaccharides remove many water molecules, thereby reducing their bulk to be stored, (b) their large molecules do not pass out through the cell membrane and remain in place till needed in the cell.
Polysaccharides also serve as a source of energy.
They act as structural compounds as well. Cellulose, pectin, and chitin are the main polysaccharides in eukaryotic and peptidoglycan.
Note: Inulin is used as a dietary fiber to improve the nutritional value of manufactured food products. Inulin is a natural storage carbohydrate present in more than 36,000 species of plants including wheat, onion, garlic.
Complete step-by-step answer:
1.The carbohydrates are of three main types: monosaccharide, oligosaccharides, and polysaccharides.
2.The latter two are together known as compound carbohydrates because they are made of a few to numerous monosaccharide units. Inulins are polysaccharides.
3.The chemical formula of inulin C6nH10n+2O5n+1.
4.Inulin is a heterogeneous collection of fructose polymers.
5.It consists of chain-terminating glucose moieties and a repetitive fructose moiety which are linked by β (2,1) bonds.
6.Because of the β (2,1) linkages, inulin is not digested by enzymes in the alimentary canal.
So the correct answer is option C. Fructose.
Additional information:
Polysaccharides: They are long chains of sugars. The polysaccharides consist of more than six (often numerous) molecules of a monosaccharide (usually glucose). The latter are joined together by glycosidic bonds with a loss of water each time a monosaccharide is added.
The number of constituent monosaccharide molecules is not known.
Some polysaccharides form an ideal storage product because of many advantages: (a) their formation from monosaccharides remove many water molecules, thereby reducing their bulk to be stored, (b) their large molecules do not pass out through the cell membrane and remain in place till needed in the cell.
Polysaccharides also serve as a source of energy.
They act as structural compounds as well. Cellulose, pectin, and chitin are the main polysaccharides in eukaryotic and peptidoglycan.
Note: Inulin is used as a dietary fiber to improve the nutritional value of manufactured food products. Inulin is a natural storage carbohydrate present in more than 36,000 species of plants including wheat, onion, garlic.
Recently Updated Pages
Why are manures considered better than fertilizers class 11 biology CBSE

Find the coordinates of the midpoint of the line segment class 11 maths CBSE

Distinguish between static friction limiting friction class 11 physics CBSE

The Chairman of the constituent Assembly was A Jawaharlal class 11 social science CBSE

The first National Commission on Labour NCL submitted class 11 social science CBSE

Number of all subshell of n + l 7 is A 4 B 5 C 6 D class 11 chemistry CBSE

Trending doubts
Differentiate between an exothermic and an endothermic class 11 chemistry CBSE

10 examples of friction in our daily life

One Metric ton is equal to kg A 10000 B 1000 C 100 class 11 physics CBSE

Difference Between Prokaryotic Cells and Eukaryotic Cells

1 Quintal is equal to a 110 kg b 10 kg c 100kg d 1000 class 11 physics CBSE

State the laws of reflection of light

