
In which of the following reaction formation of racemic mixture-
A.
B.
C.
D.
Answer
496.5k+ views
Hint: We need to know that the racemic mixture is also known as racemate. In a racemic mixture, the chiral molecule contains the left and right enantiomer in equal amounts. Hence, the mixture has the mirror image of one another and it is optically inactive. The racemic acid is the first known racemic mixture and it is the mixture of two enantiomeric isomers of the tartaric acid.
Complete answer:
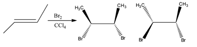
Here the given reactant is alkene. When (E)-but-2-ene is reacted with bromine and carbon tetrachloride and there is a formation of racemic mixture. And it shows two enantiomeric isomers. Let’s see the reaction,
Hence, option (A) is correct.
When (Z)-but-2-ene is reacted with potassium permanganate solution, there will not be a formation of enantiomeric mixture. Hence, the option (B) is incorrect.
There will not a formation of enantiomeric isomer by the hydration reaction of (1s,4s)-4-methylcyclohexan-1-ol in the presence of heat. Hence, option (C) is incorrect.
By the hydration reaction of (1S,2R)-2-methylcyclohexan-1-ol in the presence of heat;, there will not form a racemic mixture. Hence, the option (D) is incorrect.
Hence, option (A) is correct.
Note:
We must have to know that the racemic mixture contains the chiral molecules and it does not shows the optical activity. Thus, the net optical activity is zero. The formation of racemic mixture from chiral material is known as racemization. And forms, same amount of enantiomeric substances. And for example, formation of racemic tartaric acid by the reaction of d- tartaric acid and l- tartaric acid.
Complete answer:
Here the given reactant is alkene. When (E)-but-2-ene is reacted with bromine and carbon tetrachloride and there is a formation of racemic mixture. And it shows two enantiomeric isomers. Let’s see the reaction,
Hence, option (A) is correct.
When (Z)-but-2-ene is reacted with potassium permanganate solution, there will not be a formation of enantiomeric mixture. Hence, the option (B) is incorrect.
There will not a formation of enantiomeric isomer by the hydration reaction of (1s,4s)-4-methylcyclohexan-1-ol in the presence of heat. Hence, option (C) is incorrect.
By the hydration reaction of (1S,2R)-2-methylcyclohexan-1-ol in the presence of heat;, there will not form a racemic mixture. Hence, the option (D) is incorrect.
Hence, option (A) is correct.
Note:
We must have to know that the racemic mixture contains the chiral molecules and it does not shows the optical activity. Thus, the net optical activity is zero. The formation of racemic mixture from chiral material is known as racemization. And forms, same amount of enantiomeric substances. And for example, formation of racemic tartaric acid by the reaction of d- tartaric acid and l- tartaric acid.
Recently Updated Pages
Why are manures considered better than fertilizers class 11 biology CBSE

Find the coordinates of the midpoint of the line segment class 11 maths CBSE

Distinguish between static friction limiting friction class 11 physics CBSE

The Chairman of the constituent Assembly was A Jawaharlal class 11 social science CBSE

The first National Commission on Labour NCL submitted class 11 social science CBSE

Number of all subshell of n + l 7 is A 4 B 5 C 6 D class 11 chemistry CBSE

Trending doubts
What is meant by exothermic and endothermic reactions class 11 chemistry CBSE

10 examples of friction in our daily life

One Metric ton is equal to kg A 10000 B 1000 C 100 class 11 physics CBSE

1 Quintal is equal to a 110 kg b 10 kg c 100kg d 1000 class 11 physics CBSE

Difference Between Prokaryotic Cells and Eukaryotic Cells

What are Quantum numbers Explain the quantum number class 11 chemistry CBSE

