
In Friedel-Crafts reaction, the electrophilic reagent is:
(A) $ AlC{{l}_{3}} $
(B) $ RC{{O}^{+}} $
(C) $ R\overset{+}{\mathop{C}}\,OCl $
(D) None of these.
Answer
525.9k+ views
Hint :Acylation is the substitution of an acyl group into an organic compound. In case of benzene, the acyl group is substituted into the benzene ring. This reaction is also known as Friedel-Crafts acylation of Benzene.
Complete Step By Step Answer:
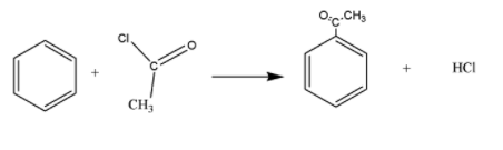
Acylation involves the substitution of an acyl group into an organic compound. The acyl group is an alkyl group that possesses a carbon-oxygen double bond. The general formula of an acyl group is $ RCO- $ where R is an alkyl group. $ C{{H}_{3}}C{{O}^{-}} $ is the most commonly used acyl group. It is also known as ethanoyl group. In the acylation of benzene, $ C{{H}_{3}}C{{O}^{-}} $ is getting substituted into the ring.
Here we will take an example to understand it;
$ C{{H}_{3}}COCl $ is the most reactive substance that contains an acyl group. It is commonly known as acyl chloride or acid chloride. Benzene ring is reacted with a mixture of ethanoyl chloride $ \left( C{{H}_{3}}COCl \right) $ and aluminium chloride $ (AlC{{l}_{3}}) $ that acts as a catalyst. The product formed is a ketone called phenylethanone.
This reaction is an example of an electrophilic substitution reaction. The electrophile is $ C{{H}_{3}}C{{O}^{+}}(RC{{O}^{+}}) $ that is produced by the reaction of ethanoyl chloride and aluminium chloride.
Therefore, the correct answer is option B.
Note :
A student can get confused between acylation and alkylation. Alkylation is the transfer of an alkyl group from one compound to another. A student can also get confused between electrophilic substitution and nucleophilic substitution. Electrophilic substitution involves the displacement of a functional group by an electrophile, i.e., hydrogen whereas nucleophilic substitution involves the attack of a positively charged atom by a nucleophile.
Complete Step By Step Answer:
Acylation involves the substitution of an acyl group into an organic compound. The acyl group is an alkyl group that possesses a carbon-oxygen double bond. The general formula of an acyl group is $ RCO- $ where R is an alkyl group. $ C{{H}_{3}}C{{O}^{-}} $ is the most commonly used acyl group. It is also known as ethanoyl group. In the acylation of benzene, $ C{{H}_{3}}C{{O}^{-}} $ is getting substituted into the ring.
Here we will take an example to understand it;
$ C{{H}_{3}}COCl $ is the most reactive substance that contains an acyl group. It is commonly known as acyl chloride or acid chloride. Benzene ring is reacted with a mixture of ethanoyl chloride $ \left( C{{H}_{3}}COCl \right) $ and aluminium chloride $ (AlC{{l}_{3}}) $ that acts as a catalyst. The product formed is a ketone called phenylethanone.
This reaction is an example of an electrophilic substitution reaction. The electrophile is $ C{{H}_{3}}C{{O}^{+}}(RC{{O}^{+}}) $ that is produced by the reaction of ethanoyl chloride and aluminium chloride.
Therefore, the correct answer is option B.
Note :
A student can get confused between acylation and alkylation. Alkylation is the transfer of an alkyl group from one compound to another. A student can also get confused between electrophilic substitution and nucleophilic substitution. Electrophilic substitution involves the displacement of a functional group by an electrophile, i.e., hydrogen whereas nucleophilic substitution involves the attack of a positively charged atom by a nucleophile.
Recently Updated Pages
The number of solutions in x in 02pi for which sqrt class 12 maths CBSE

Write any two methods of preparation of phenol Give class 12 chemistry CBSE

Differentiate between action potential and resting class 12 biology CBSE

Two plane mirrors arranged at right angles to each class 12 physics CBSE

Which of the following molecules is are chiral A I class 12 chemistry CBSE

Name different types of neurons and give one function class 12 biology CBSE

Trending doubts
One Metric ton is equal to kg A 10000 B 1000 C 100 class 11 physics CBSE

Explain zero factorial class 11 maths CBSE

What is 1s 2s 2p 3s 3p class 11 chemistry CBSE

Discuss the various forms of bacteria class 11 biology CBSE

State the laws of reflection of light

An example of chemosynthetic bacteria is A E coli B class 11 biology CBSE

