
In Dow’s process for manufacture of phenol, PhCl is fused with NaOH at elevated temperature under pressure.
\[PhCl\xrightarrow[{623K,300atm}]{{NaOH}}[Intermediate]\xrightarrow{{{H_2}O}}Phenol(A) + (B + C)sideproduct\]
Which of the following statements are correct?
(This question has multiple correct options)
(A) Phenol is formed via the formation of benzyne intermediate
(B) p – phenyl phenol is also formed as a by product
(C) Diphenyl ether is also formed as a by – product
(D) Biphenylene is also formed as a by – product
Answer
574.5k+ views
Hint: Dow’s process is hydrolysis of chlorobenzene. It is a nucleophilic substitution reaction. It is formed by an intermediate of benzene. Nucleophilic substitution is a type of reaction in which an electron rich compound replaces a leaving group.
Complete answer:
- We refer to Dow's Process to the hydrolysis of chlorobenzene for the preparation of phenol.
-We can easily convert benzene chlorobenzene by electrophilic aromatic substitution.
- Dow’s process is preparation of phenol from haloarenes, it is an industrial preparation of phenol.
- Chlorobenzenes with 10% NaOH solution is heated at 623K under 300 atm pressure.
- The major product of Dow’s process is phenol but other by- products are also formed as a result of reaction between the species formed during the reaction.
- Now let’s understand the reaction mechanism:
-In the first step, the base (NaOH) removes one hydrogen from the benzene ring and forms a carbanion which loses \[C{l^ - }\] ion to form benzyne intermediate.
-In the second step, an attack of nucleophile takes place. The benzyne intermediate formed gets attacked by nucleophile \[O{H^ - }\]to form carbanion which subsequently gets protonated to form phenol.
- Now for side products, let’s see the conversion of reactants into reacting species.
- Due to the presence of phenoxide ions diphenyl ether is also a by – product.
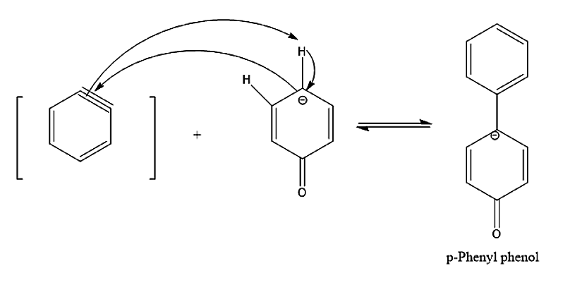
- Another by – product we see is para- phenyl phenol which is formed by benzyne and phenoxide ions.
Therefore, the correct statements are options A. Phenol is formed via the formation of benzyne intermediate, B. p – phenyl phenol is also formed as a by-product, C. Diphenyl ether is also formed as a by – product.
Note:
-After the formation of benzyne, \[O{H^ - }\] nucleophilic attack takes place.
-The reaction mixture also contains some phenoxide ions. So, Diphenyl ether is a possible side product.
- The major product of Dow’s process is phenol but other by- products are also formed as a result of reaction between the species formed during the reaction.
Complete answer:
- We refer to Dow's Process to the hydrolysis of chlorobenzene for the preparation of phenol.
-We can easily convert benzene chlorobenzene by electrophilic aromatic substitution.
- Dow’s process is preparation of phenol from haloarenes, it is an industrial preparation of phenol.
- Chlorobenzenes with 10% NaOH solution is heated at 623K under 300 atm pressure.
- The major product of Dow’s process is phenol but other by- products are also formed as a result of reaction between the species formed during the reaction.
- Now let’s understand the reaction mechanism:
-In the first step, the base (NaOH) removes one hydrogen from the benzene ring and forms a carbanion which loses \[C{l^ - }\] ion to form benzyne intermediate.
-In the second step, an attack of nucleophile takes place. The benzyne intermediate formed gets attacked by nucleophile \[O{H^ - }\]to form carbanion which subsequently gets protonated to form phenol.
- Now for side products, let’s see the conversion of reactants into reacting species.
- Due to the presence of phenoxide ions diphenyl ether is also a by – product.
- Another by – product we see is para- phenyl phenol which is formed by benzyne and phenoxide ions.
Therefore, the correct statements are options A. Phenol is formed via the formation of benzyne intermediate, B. p – phenyl phenol is also formed as a by-product, C. Diphenyl ether is also formed as a by – product.
Note:
-After the formation of benzyne, \[O{H^ - }\] nucleophilic attack takes place.
-The reaction mixture also contains some phenoxide ions. So, Diphenyl ether is a possible side product.
- The major product of Dow’s process is phenol but other by- products are also formed as a result of reaction between the species formed during the reaction.
Recently Updated Pages
Master Class 11 Business Studies: Engaging Questions & Answers for Success

Master Class 11 Computer Science: Engaging Questions & Answers for Success

Master Class 11 Economics: Engaging Questions & Answers for Success

Master Class 11 Social Science: Engaging Questions & Answers for Success

Master Class 11 English: Engaging Questions & Answers for Success

Master Class 11 Chemistry: Engaging Questions & Answers for Success

Trending doubts
Draw a diagram of nephron and explain its structur class 11 biology CBSE

Explain zero factorial class 11 maths CBSE

Chemical formula of Bleaching powder is A Ca2OCl2 B class 11 chemistry CBSE

Name the part of the brain responsible for the precision class 11 biology CBSE

The growth of tendril in pea plants is due to AEffect class 11 biology CBSE

One Metric ton is equal to kg A 10000 B 1000 C 100 class 11 physics CBSE

