
Hydrazobenzene on treatment with ${{\text{H}}_{\text{2}}}{\text{S}}{{\text{O}}_{\text{4}}}$ forms:
A) Azobenzene
B) Azobenzene sulfonic acid
C) Benzidine
D) None of the above
Answer
552.9k+ views
Hint: To solve this we must know that hydrazobenzene is also known as diphenylhydrazine. The structure is two benzene rings to which $ - {\text{NH}}$ groups are attached. These two rings are then connected through the nitrogen-nitrogen $\left( {{\text{N}} - {\text{N}}} \right)$ bond. ${{\text{H}}_{\text{2}}}{\text{S}}{{\text{O}}_{\text{4}}}$ which is known as sulphuric acid creates an acidic medium. A rearrangement reaction occurs.
Complete solution:
We know that hydrazobenzene as the name suggests hydrazo group is $ - {\text{NH}}$ group and benzene indicates that this hydrazo group is attached to the benzene ring.
Hydrazobenzene is two benzene rings to which $ - {\text{NH}}$ groups are attached. These two rings are then connected through the nitrogen-nitrogen $\left( {{\text{N}} - {\text{N}}} \right)$ bond.
The structure for hydrazobenzene is as follows:
${{\text{H}}_{\text{2}}}{\text{S}}{{\text{O}}_{\text{4}}}$ which is known as sulphuric acid creates an acidic medium. Hydrazobenzene in an acidic medium accepts protons from the sulphuric acid. In an acidic medium, hydrazobenzene undergoes a rearrangement reaction.
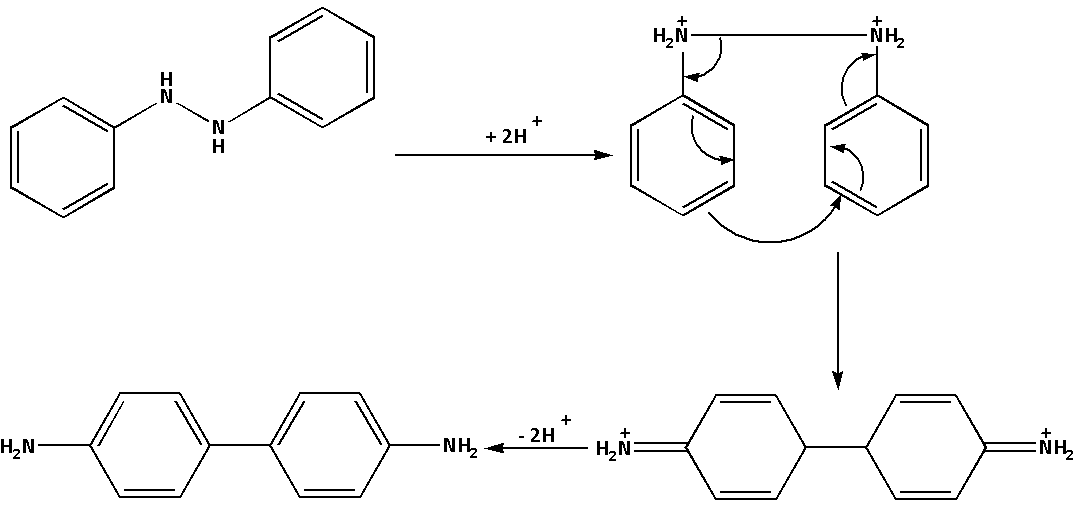
The mechanism of the reaction when hydrazobenzene reacts with sulphuric acid i.e. ${{\text{H}}_{\text{2}}}{\text{S}}{{\text{O}}_{\text{4}}}$ is as follows:
In the reaction, where hydrazobenzene reacts with sulphuric acid i.e. ${{\text{H}}_{\text{2}}}{\text{S}}{{\text{O}}_{\text{4}}}$ a rearrangement reaction leads to the formation of benzidine. Thus, benzidine is a product of rearrangement of hydrazobenzene in an acidic medium.
Benzidine is not a naturally occurring substance and is synthesized mainly from hydrazobenzene on reacting it with sulphuric acid i.e. ${{\text{H}}_{\text{2}}}{\text{S}}{{\text{O}}_{\text{4}}}$.
Thus, hydrazobenzene on treatment with ${{\text{H}}_{\text{2}}}{\text{S}}{{\text{O}}_{\text{4}}}$ forms benzidine.
Thus, the correct option is (C) benzidine.
Note: Benzidine is greyish-red, yellowish or white coloured powder. Benzidine can also be synthesized from nitrobenzene. Nitrobenzene is first converted to diphenylhydrazine or hydrazobenzene using iron powder as a reducing agent which then undergoes the same rearrangement reaction in acidic medium as shown above.
Complete solution:
We know that hydrazobenzene as the name suggests hydrazo group is $ - {\text{NH}}$ group and benzene indicates that this hydrazo group is attached to the benzene ring.
Hydrazobenzene is two benzene rings to which $ - {\text{NH}}$ groups are attached. These two rings are then connected through the nitrogen-nitrogen $\left( {{\text{N}} - {\text{N}}} \right)$ bond.
The structure for hydrazobenzene is as follows:
${{\text{H}}_{\text{2}}}{\text{S}}{{\text{O}}_{\text{4}}}$ which is known as sulphuric acid creates an acidic medium. Hydrazobenzene in an acidic medium accepts protons from the sulphuric acid. In an acidic medium, hydrazobenzene undergoes a rearrangement reaction.
The mechanism of the reaction when hydrazobenzene reacts with sulphuric acid i.e. ${{\text{H}}_{\text{2}}}{\text{S}}{{\text{O}}_{\text{4}}}$ is as follows:
In the reaction, where hydrazobenzene reacts with sulphuric acid i.e. ${{\text{H}}_{\text{2}}}{\text{S}}{{\text{O}}_{\text{4}}}$ a rearrangement reaction leads to the formation of benzidine. Thus, benzidine is a product of rearrangement of hydrazobenzene in an acidic medium.
Benzidine is not a naturally occurring substance and is synthesized mainly from hydrazobenzene on reacting it with sulphuric acid i.e. ${{\text{H}}_{\text{2}}}{\text{S}}{{\text{O}}_{\text{4}}}$.
Thus, hydrazobenzene on treatment with ${{\text{H}}_{\text{2}}}{\text{S}}{{\text{O}}_{\text{4}}}$ forms benzidine.
Thus, the correct option is (C) benzidine.
Note: Benzidine is greyish-red, yellowish or white coloured powder. Benzidine can also be synthesized from nitrobenzene. Nitrobenzene is first converted to diphenylhydrazine or hydrazobenzene using iron powder as a reducing agent which then undergoes the same rearrangement reaction in acidic medium as shown above.
Recently Updated Pages
A man running at a speed 5 ms is viewed in the side class 12 physics CBSE

State and explain Hardy Weinbergs Principle class 12 biology CBSE

Which of the following statements is wrong a Amnion class 12 biology CBSE

Two Planoconcave lenses 1 and 2 of glass of refractive class 12 physics CBSE

The compound 2 methyl 2 butene on reaction with NaIO4 class 12 chemistry CBSE

Bacterial cell wall is made up of A Cellulose B Hemicellulose class 12 biology CBSE

Trending doubts
What are the major means of transport Explain each class 12 social science CBSE

Which are the Top 10 Largest Countries of the World?

Draw a labelled sketch of the human eye class 12 physics CBSE

Explain sex determination in humans with line diag class 12 biology CBSE

Give 10 examples of unisexual and bisexual flowers

State the principle of an ac generator and explain class 12 physics CBSE

