
How do plants produce ATP?
Answer
505.5k+ views
Hint: ATP, or adenosine triphosphate, is a molecule that provides energy within cells. It is the cell's primary source of energy, and it is produced by photophosphorylation (adding a phosphate group to a molecule using light energy), cellular respiration, and fermentation.
Complete answer:
Photorespiration (also known as C2 photosynthesis or the oxidative photosynthetic carbon cycle) is a process in plant metabolism in which the enzyme RuBisCO oxygenates RuBP, wasting some of the energy produced by photosynthesis.
Photosynthesis is the process by which plants use sunlight to synthesize glucose molecules from available water and carbon dioxide molecules in the presence of sunlight. This glucose can be converted to pyruvate via various pathways. Pyruvate produces ATP through cellular respiration (adenosine triphosphate). ATP can be produced aerobically (in the presence of oxygen) or anaerobically (in the absence of oxygen).
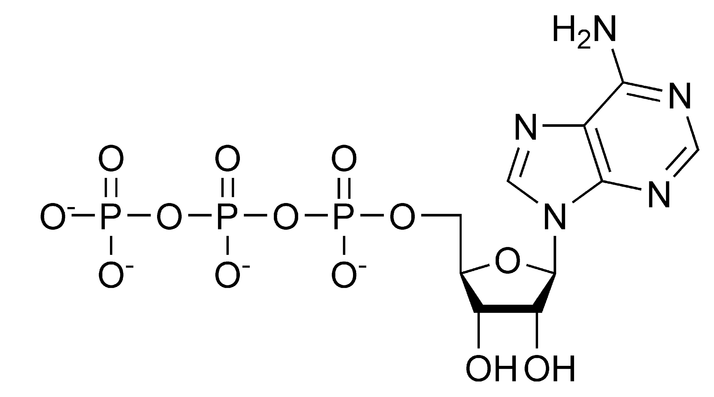
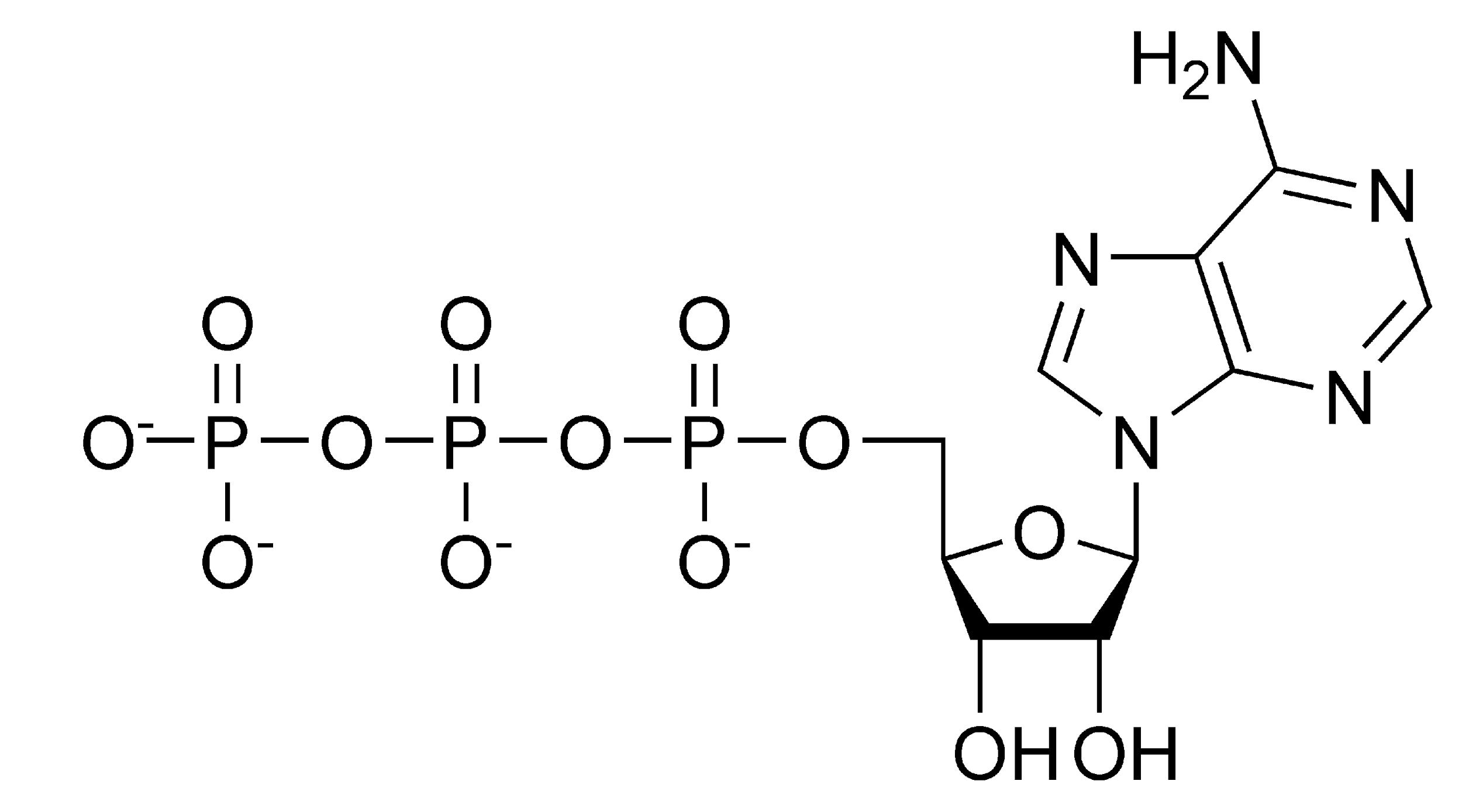
ATP molecules are recycled after each reaction. Both exergonic and endergonic processes require energy from these molecules. The three phosphate groups in this ATP molecule are high energy bonds, which means they release a lot of energy when the bond breaks. This molecule provides energy for various life processes, without which life would cease to exist.
Thus, in plants, ATP is produced in the chloroplast's thylakoid membrane. Photophosphorylation is the name of the procedure. The "machinery" is similar to that found in mitochondria, with the exception that light energy is used to pump protons across a membrane to generate a proton-motive force.
Note:
Light energy is used in photophosphorylation to create a high-energy electron donor and a lower-energy electron acceptor. Electrons then travel through an electron transport chain from donor to acceptor on their own.
Complete answer:
Photorespiration (also known as C2 photosynthesis or the oxidative photosynthetic carbon cycle) is a process in plant metabolism in which the enzyme RuBisCO oxygenates RuBP, wasting some of the energy produced by photosynthesis.
Photosynthesis is the process by which plants use sunlight to synthesize glucose molecules from available water and carbon dioxide molecules in the presence of sunlight. This glucose can be converted to pyruvate via various pathways. Pyruvate produces ATP through cellular respiration (adenosine triphosphate). ATP can be produced aerobically (in the presence of oxygen) or anaerobically (in the absence of oxygen).
ATP molecules are recycled after each reaction. Both exergonic and endergonic processes require energy from these molecules. The three phosphate groups in this ATP molecule are high energy bonds, which means they release a lot of energy when the bond breaks. This molecule provides energy for various life processes, without which life would cease to exist.
Thus, in plants, ATP is produced in the chloroplast's thylakoid membrane. Photophosphorylation is the name of the procedure. The "machinery" is similar to that found in mitochondria, with the exception that light energy is used to pump protons across a membrane to generate a proton-motive force.
Note:
Light energy is used in photophosphorylation to create a high-energy electron donor and a lower-energy electron acceptor. Electrons then travel through an electron transport chain from donor to acceptor on their own.
Recently Updated Pages
Master Class 11 Business Studies: Engaging Questions & Answers for Success

Master Class 11 Computer Science: Engaging Questions & Answers for Success

Master Class 11 Economics: Engaging Questions & Answers for Success

Master Class 11 Social Science: Engaging Questions & Answers for Success

Master Class 11 English: Engaging Questions & Answers for Success

Master Class 11 Chemistry: Engaging Questions & Answers for Success

Trending doubts
Draw a diagram of nephron and explain its structur class 11 biology CBSE

Explain zero factorial class 11 maths CBSE

Chemical formula of Bleaching powder is A Ca2OCl2 B class 11 chemistry CBSE

Name the part of the brain responsible for the precision class 11 biology CBSE

The growth of tendril in pea plants is due to AEffect class 11 biology CBSE

One Metric ton is equal to kg A 10000 B 1000 C 100 class 11 physics CBSE

