
What happens when carbonyl compounds are treated with hydrazine? Write the reaction.
Answer
534.9k+ views
Hint :Carbonyl compounds are the compounds having a carbonyl group attached to the molecule. A carbonyl carbon is a functional group in which a carbon atom is double bonded to the oxygen and the general carbonyl compound is represented as $ R - C(R) = O $ .
Complete Step By Step Answer:
First of all, we start with what is hydrazine.
Hydrazine: Hydrazine is an alkaline liquid which is a very powerful reducing agent having the chemical formula $ N{H_2} - N{H_2} $ .
Carbonyl compounds: The organic compounds aldehyde and ketones are carbonyl compounds, as have carbonyl groups.
Now, we will treat carbonyl compounds with the hydrazine.
The reaction of carbonyl compounds with the hydrazine:
First of all, the carbonyl group is reacted with hydrazine. This forms hydrazone.
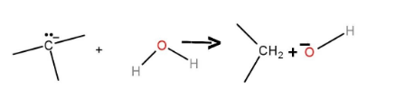
When the medium is basic. The terminal nitrogen atom of the hydrazone is deprotonated and makes double bonds with the neighbouring nitrogen. The proton which is released is attached to hydroxide ion to form water. As oxygen is more electron withdrawing than carbon, the carbon is protonated by the water. The terminal nitrogen is deprotonated again and the triple bond with the nitrogen atom at the neighbour which forms carbanion. Another proton forms water from the environment which is basic. Then, the carbonyl compound is converted into alkane.
Hence, the complete reaction is as follows:
The reaction is also known as Wolf-Kishner reduction. In these reactions, carbonyl carbon is reduced to alkane.
Note :
There are various other methods to convert carbonyl compounds to alkanes like Clemmensen reduction in which the carbonyl is reacted with zinc amalgam in presence of aqueous hydrochloric acid.
Complete Step By Step Answer:
First of all, we start with what is hydrazine.
Hydrazine: Hydrazine is an alkaline liquid which is a very powerful reducing agent having the chemical formula $ N{H_2} - N{H_2} $ .
Carbonyl compounds: The organic compounds aldehyde and ketones are carbonyl compounds, as have carbonyl groups.
Now, we will treat carbonyl compounds with the hydrazine.
The reaction of carbonyl compounds with the hydrazine:
First of all, the carbonyl group is reacted with hydrazine. This forms hydrazone.
When the medium is basic. The terminal nitrogen atom of the hydrazone is deprotonated and makes double bonds with the neighbouring nitrogen. The proton which is released is attached to hydroxide ion to form water. As oxygen is more electron withdrawing than carbon, the carbon is protonated by the water. The terminal nitrogen is deprotonated again and the triple bond with the nitrogen atom at the neighbour which forms carbanion. Another proton forms water from the environment which is basic. Then, the carbonyl compound is converted into alkane.
Hence, the complete reaction is as follows:
The reaction is also known as Wolf-Kishner reduction. In these reactions, carbonyl carbon is reduced to alkane.
Note :
There are various other methods to convert carbonyl compounds to alkanes like Clemmensen reduction in which the carbonyl is reacted with zinc amalgam in presence of aqueous hydrochloric acid.
Recently Updated Pages
Why are manures considered better than fertilizers class 11 biology CBSE

Find the coordinates of the midpoint of the line segment class 11 maths CBSE

Distinguish between static friction limiting friction class 11 physics CBSE

The Chairman of the constituent Assembly was A Jawaharlal class 11 social science CBSE

The first National Commission on Labour NCL submitted class 11 social science CBSE

Number of all subshell of n + l 7 is A 4 B 5 C 6 D class 11 chemistry CBSE

Trending doubts
Differentiate between an exothermic and an endothermic class 11 chemistry CBSE

10 examples of friction in our daily life

One Metric ton is equal to kg A 10000 B 1000 C 100 class 11 physics CBSE

Difference Between Prokaryotic Cells and Eukaryotic Cells

1 Quintal is equal to a 110 kg b 10 kg c 100kg d 1000 class 11 physics CBSE

State the laws of reflection of light

