
What happens when but-2-yne is treated with Na in liquid ammonia?
A.Cis-2-butene is formed
B.Trans-2-butene is formed
C.n-butane is the major product
D.It rearranges to but-1-yne
E.There is no reaction
Answer
566.4k+ views
Hint: Sodium in liquid ammonia reduces alkynes to alkenes. The reaction is called Birch reduction. In other words, it hydrogenates the alkynes to form alkenes.
Complete step by step answer:
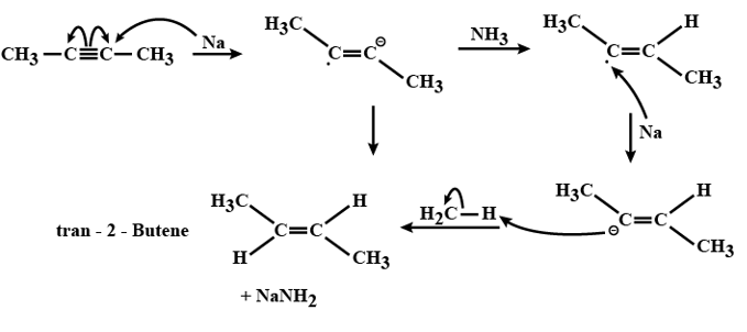
The reduction of alkynes to alkenes is done with the help of sodium in liquid ammonia. This catalyst readily gives the trans-2-Butene (E-2-Butene). This reaction is known as Birch reduction. In order to obtain cis-2-Butene, Lindlar catalyst can be employed. Lindlar catalyst is a combination of Palladium, lead acetate and quinoline with hydrogen gas being pumped at high pressure.
But-2-yne when treated with sodium in liquid ammonia gives trans-2-butene.
The reaction of alkyne with sodium in liquid ammonia produces sodamide in the process converting alkynes to alkenes.
Mechanism of Birch Reduction:
-Sodium in liquid ammonia produces solvated electrons.
-The attack of solvated electrons forms a radical anion.
-Now, protonation of the radical anion takes place.
-The reduction of radicals to an anion by electrons occurs.
-Now through protonation of the anion by alcohol, desired alkene is formed.
So, the correct option is B.
Note:
Instead of sodium metal, even lithium (Li) metal can be used. Keep in mind sodium amide or with liq. Ammonia is not a Birch reduction. Since sodamide is a strong base and not a reducing agent.
Complete step by step answer:
The reduction of alkynes to alkenes is done with the help of sodium in liquid ammonia. This catalyst readily gives the trans-2-Butene (E-2-Butene). This reaction is known as Birch reduction. In order to obtain cis-2-Butene, Lindlar catalyst can be employed. Lindlar catalyst is a combination of Palladium, lead acetate and quinoline with hydrogen gas being pumped at high pressure.
But-2-yne when treated with sodium in liquid ammonia gives trans-2-butene.
The reaction of alkyne with sodium in liquid ammonia produces sodamide in the process converting alkynes to alkenes.
Mechanism of Birch Reduction:
-Sodium in liquid ammonia produces solvated electrons.
-The attack of solvated electrons forms a radical anion.
-Now, protonation of the radical anion takes place.
-The reduction of radicals to an anion by electrons occurs.
-Now through protonation of the anion by alcohol, desired alkene is formed.
So, the correct option is B.
Note:
Instead of sodium metal, even lithium (Li) metal can be used. Keep in mind sodium amide or with liq. Ammonia is not a Birch reduction. Since sodamide is a strong base and not a reducing agent.
Recently Updated Pages
Why are manures considered better than fertilizers class 11 biology CBSE

Find the coordinates of the midpoint of the line segment class 11 maths CBSE

Distinguish between static friction limiting friction class 11 physics CBSE

The Chairman of the constituent Assembly was A Jawaharlal class 11 social science CBSE

The first National Commission on Labour NCL submitted class 11 social science CBSE

Number of all subshell of n + l 7 is A 4 B 5 C 6 D class 11 chemistry CBSE

Trending doubts
Differentiate between an exothermic and an endothermic class 11 chemistry CBSE

10 examples of friction in our daily life

One Metric ton is equal to kg A 10000 B 1000 C 100 class 11 physics CBSE

Difference Between Prokaryotic Cells and Eukaryotic Cells

1 Quintal is equal to a 110 kg b 10 kg c 100kg d 1000 class 11 physics CBSE

State the laws of reflection of light

