
What happens when acetaldehyde Is treated with phenylhydrazine? Give a balanced chemical equation?
Answer
491.4k+ views
Hint: So, the acetaldehyde is also known as the ‘Ethanal’ because it is the aldehyde produced from the acetic acid by reduction of the carboxyl group. This acetaldehyde undergoes a reaction with the phenylhydrazine and readily forms a product with the release of the water molecule.
Complete answer: Acetaldehyde is one of the most abundant carcinogens present in the smoke.
On the other hand phenylhydrazine is present in nature or exists as yellow crystals or in the form of yellow liquid, which is tremendously used as a chemical in various reactions.
This phenylhydrazine is also found naturally in many edible mushrooms.
Now we have basic knowledge regarding both of the compound that has to undergo reaction, so let’s proceeded with the equation:
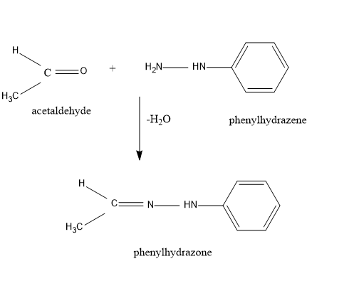
So, when acetaldehyde is treated with phenylhydrazine, the Nitrogen atom of the phenylhydrazene serves as a nucleophile and attacks the electrophilic carbon of the acetaldehyde and removes water to give acetaldehyde phenylhydrazone.
Important point to note is that in this reaction, the water molecule is released..
Also, for a better understanding let’s have a look at the equation diagrammatically
So, from the above equation, the reaction between phenylhydrazine and acetaldehyde is crystal clear.
Thus, when acetaldehyde Is treated with phenylhydrazine it gives acetaldehyde phenylhydrazone.
Note:
Phenylhydrazine is used to form phenylhydrazones of natural mixtures of simple sugars in order to render the differing sugars easily separable from each other. This molecule is also used to induce acute hemolytic anemia in animal models.
Complete answer: Acetaldehyde is one of the most abundant carcinogens present in the smoke.
On the other hand phenylhydrazine is present in nature or exists as yellow crystals or in the form of yellow liquid, which is tremendously used as a chemical in various reactions.
This phenylhydrazine is also found naturally in many edible mushrooms.
Now we have basic knowledge regarding both of the compound that has to undergo reaction, so let’s proceeded with the equation:
So, when acetaldehyde is treated with phenylhydrazine, the Nitrogen atom of the phenylhydrazene serves as a nucleophile and attacks the electrophilic carbon of the acetaldehyde and removes water to give acetaldehyde phenylhydrazone.
Important point to note is that in this reaction, the water molecule is released..
Also, for a better understanding let’s have a look at the equation diagrammatically
So, from the above equation, the reaction between phenylhydrazine and acetaldehyde is crystal clear.
Thus, when acetaldehyde Is treated with phenylhydrazine it gives acetaldehyde phenylhydrazone.
Note:
Phenylhydrazine is used to form phenylhydrazones of natural mixtures of simple sugars in order to render the differing sugars easily separable from each other. This molecule is also used to induce acute hemolytic anemia in animal models.
Recently Updated Pages
Which cell organelles are present in white blood C class 11 biology CBSE

What is the molecular geometry of BrF4 A square planar class 11 chemistry CBSE

How can you explain that CCl4 has no dipole moment class 11 chemistry CBSE

Which will undergo SN2 reaction fastest among the following class 11 chemistry CBSE

The values of mass m for which the 100 kg block does class 11 physics CBSE

Why are voluntary muscles called striated muscles class 11 biology CBSE

Trending doubts
Which are the Top 10 Largest Countries of the World?

What are the major means of transport Explain each class 12 social science CBSE

Draw a labelled sketch of the human eye class 12 physics CBSE

Draw the diagram showing the germination of pollen class 12 biology CBSE

Differentiate between insitu conservation and exsitu class 12 biology CBSE

The computer jargonwwww stands for Aworld wide web class 12 physics CBSE

