
Find the factors of 330.
A. \[2 \times 4 \times 5 \times 11\]
B. \[2 \times 3 \times 7 \times 13\]
C. \[2 \times 3 \times 5 \times 13\]
D. \[2 \times 3 \times 5 \times 11\]
Answer
561k+ views
Hint: Here, we will find the factors of the given number using the concept of prime factorization. Prime factorization is a method in which a number is factorized to get factors as prime numbers. Factors are defined as the whole number multiplied by a number to get another number.
Complete step-by-step answer:
We are given a number 330.
We will find the factors of 330 by using the method of prime factorization.
We will follow the following steps has to perform doing prime factorization:
First, we will divide the number by the smallest prime number which divides the number exactly.
We will divide the quotient again by the smallest or the next smallest prime number if it is not exactly divisible by the smallest prime number.
We divide the process again and again till the quotient becomes 1.
We multiply the factors.
So, using the steps, we get
Thus, the factors of 330 are 2, 3, 5, and 11. As the factors are prime numbers, therefore we cannot factorize it further.
Therefore, the factors of 330 are \[2 \times 3 \times 5 \times 11\].
Note: We should remember that we should use only the prime factors. the product should be the number itself. We can also use the factor tree method.
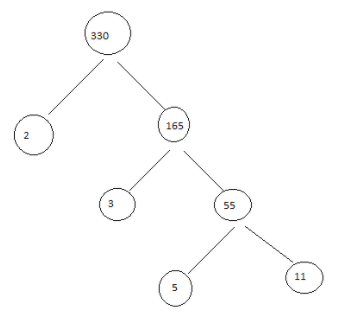
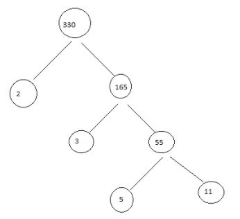
In factor tree method, the given number has to be multiplied by a prime factor and a composite factor. The composite factor has to be factorized by a prime factor and a composite factor. This has to be continued till all the factors become the prime factors. Each number is a factor of itself and The number 1 is a factor of every number. Thus the number 1 can be neglected. The product should be the number itself. Thus the numbers become the factors.
Complete step-by-step answer:
We are given a number 330.
We will find the factors of 330 by using the method of prime factorization.
We will follow the following steps has to perform doing prime factorization:
First, we will divide the number by the smallest prime number which divides the number exactly.
We will divide the quotient again by the smallest or the next smallest prime number if it is not exactly divisible by the smallest prime number.
We divide the process again and again till the quotient becomes 1.
We multiply the factors.
So, using the steps, we get
Thus, the factors of 330 are 2, 3, 5, and 11. As the factors are prime numbers, therefore we cannot factorize it further.
Therefore, the factors of 330 are \[2 \times 3 \times 5 \times 11\].
Note: We should remember that we should use only the prime factors. the product should be the number itself. We can also use the factor tree method.
In factor tree method, the given number has to be multiplied by a prime factor and a composite factor. The composite factor has to be factorized by a prime factor and a composite factor. This has to be continued till all the factors become the prime factors. Each number is a factor of itself and The number 1 is a factor of every number. Thus the number 1 can be neglected. The product should be the number itself. Thus the numbers become the factors.
Recently Updated Pages
You are awaiting your class 10th results Meanwhile class 7 english CBSE

Which one of the following islands is closer to the class 7 social science CBSE

was given the title of NizamulMulk class 7 social science CBSE

The reciprocal of a positive rational number is class 7 maths CBSE

How much lace will be needed to put around a square class 7 maths CBSE

Which of the following is the correct chronological class 7 social science CBSE

Trending doubts
Full Form of IASDMIPSIFSIRSPOLICE class 7 social science CBSE

Convert 200 Million dollars in rupees class 7 maths CBSE

The founder of Jainism was A Rishabhadev B Neminath class 7 social science CBSE

What are the controls affecting the climate of Ind class 7 social science CBSE

Fill in the blanks with appropriate modals a Drivers class 7 english CBSE

Write a letter to the editor of the national daily class 7 english CBSE


