
Explain why phenolphthalein is used as an indicator in acid-base titration.
Answer
572.1k+ views
Hint: Phenolphthalein remains colourless in acidic medium. However, when the solution becomes basic i.e. pH > 7, the solution becomes pink due to phenolphthalein. Understand the change in the structure of phenolphthalein when a base is added to it.
Complete step by step answer:
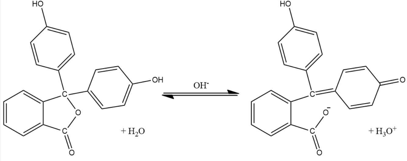
We know that indicators are those substances which are often used in titrations as a visual indication of when the equivalence point is reached. Knowing the equivalence point allows for the determination of the unknown concentration of analyte using the addition of the known concentration.
We know what acid-base titration is. In an acid-base titration, the neutralization of an acid takes place by a base. In acid-base titration, we take a known amount of acid in conical flask and add some phenolphthalein indicator. To know what is happening here, we need to analyse the structure of phenolphthalein in both acidic and basic mediums.
Initially, pH of the solution in the conical flask is less than 7 since it is acidic. So, the solution becomes colourless because the phenolphthalein is colourless in an acidic medium. After the equivalence point is reached, the very next drop makes the solution basic. In basic solution, the acidic proton in the phenolphthalein will be captured by the hydroxide ions and forms a quinoid structure which is pink in colour. So, this appearance of pink colour will help to identify the end point of this titration.
Due to this structural importance, phenolphthalein is used as an indicator in acid-base titration.
Note: You need to notice that many different substances can be used as indicators, depending on the particular reaction to be monitored. In all cases, a good indicator must have some properties. They are, the colour change must be easily detected, and the colour change must be rapid. Also, the indicator molecule must not react with the substance being titrated.
Complete step by step answer:
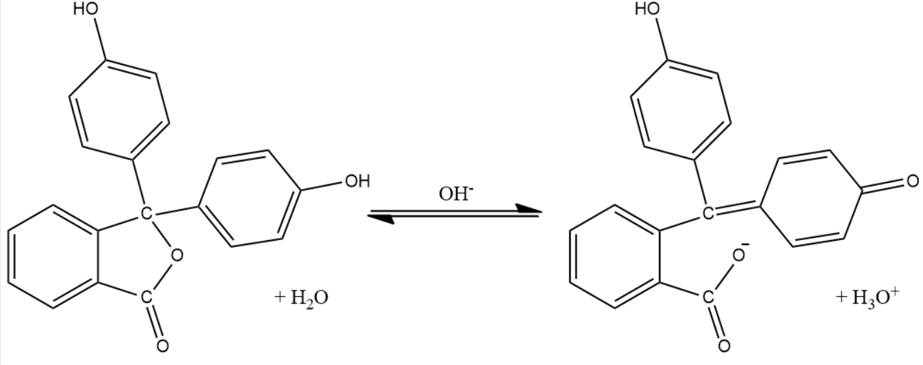
We know that indicators are those substances which are often used in titrations as a visual indication of when the equivalence point is reached. Knowing the equivalence point allows for the determination of the unknown concentration of analyte using the addition of the known concentration.
We know what acid-base titration is. In an acid-base titration, the neutralization of an acid takes place by a base. In acid-base titration, we take a known amount of acid in conical flask and add some phenolphthalein indicator. To know what is happening here, we need to analyse the structure of phenolphthalein in both acidic and basic mediums.
Initially, pH of the solution in the conical flask is less than 7 since it is acidic. So, the solution becomes colourless because the phenolphthalein is colourless in an acidic medium. After the equivalence point is reached, the very next drop makes the solution basic. In basic solution, the acidic proton in the phenolphthalein will be captured by the hydroxide ions and forms a quinoid structure which is pink in colour. So, this appearance of pink colour will help to identify the end point of this titration.
Due to this structural importance, phenolphthalein is used as an indicator in acid-base titration.
Note: You need to notice that many different substances can be used as indicators, depending on the particular reaction to be monitored. In all cases, a good indicator must have some properties. They are, the colour change must be easily detected, and the colour change must be rapid. Also, the indicator molecule must not react with the substance being titrated.
Recently Updated Pages
Why are manures considered better than fertilizers class 11 biology CBSE

Find the coordinates of the midpoint of the line segment class 11 maths CBSE

Distinguish between static friction limiting friction class 11 physics CBSE

The Chairman of the constituent Assembly was A Jawaharlal class 11 social science CBSE

The first National Commission on Labour NCL submitted class 11 social science CBSE

Number of all subshell of n + l 7 is A 4 B 5 C 6 D class 11 chemistry CBSE

Trending doubts
What is meant by exothermic and endothermic reactions class 11 chemistry CBSE

10 examples of friction in our daily life

One Metric ton is equal to kg A 10000 B 1000 C 100 class 11 physics CBSE

1 Quintal is equal to a 110 kg b 10 kg c 100kg d 1000 class 11 physics CBSE

Difference Between Prokaryotic Cells and Eukaryotic Cells

What are Quantum numbers Explain the quantum number class 11 chemistry CBSE

