
Explain the structure of glycogen.
Answer
577.5k+ views
Hint: Glycogen is a polysaccharide and a polymer of glucose. It is stored in animal tissues e.g. liver adipose tissue, muscles, etc. When required it is broken down to provide energy.
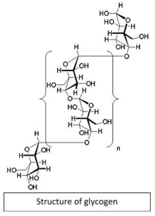
Complete answer:Glycogen is a common homo-polysaccharide. It is a branched polymer of glucose (monosaccharide).
The glucose molecules are aligned in a linear fashion and they are linked by α(1🡪4) glycosidic bond. After every 8-10 glucose residues, a branch occurs.
The branch is different because, in it, the glucose residues are linked with α(1🡪6) glycosidic bond.
Glycogen can be broken down into glucose when required. It happens in the process called glycogenolysis. Here, the bonds in between the glucose residues get hydrolyzed; these residues are then used for respiration pathways to yield energy.
In simple words, glycogen is a branched homopolysaccharide of α-D-glucose linked by α(1 $\to$ 4) glycosidic bonds.
Note: Glycogen is an analogue of the starch in plants (found as their stored material). There are approximately 2000 to 6000 glucose residues in a glycogen molecule. Each glycogen granule has a central protein- glycogenin.
Complete answer:Glycogen is a common homo-polysaccharide. It is a branched polymer of glucose (monosaccharide).
The glucose molecules are aligned in a linear fashion and they are linked by α(1🡪4) glycosidic bond. After every 8-10 glucose residues, a branch occurs.
The branch is different because, in it, the glucose residues are linked with α(1🡪6) glycosidic bond.
Glycogen can be broken down into glucose when required. It happens in the process called glycogenolysis. Here, the bonds in between the glucose residues get hydrolyzed; these residues are then used for respiration pathways to yield energy.
In simple words, glycogen is a branched homopolysaccharide of α-D-glucose linked by α(1 $\to$ 4) glycosidic bonds.
Note: Glycogen is an analogue of the starch in plants (found as their stored material). There are approximately 2000 to 6000 glucose residues in a glycogen molecule. Each glycogen granule has a central protein- glycogenin.
Recently Updated Pages
Why are manures considered better than fertilizers class 11 biology CBSE

Find the coordinates of the midpoint of the line segment class 11 maths CBSE

Distinguish between static friction limiting friction class 11 physics CBSE

The Chairman of the constituent Assembly was A Jawaharlal class 11 social science CBSE

The first National Commission on Labour NCL submitted class 11 social science CBSE

Number of all subshell of n + l 7 is A 4 B 5 C 6 D class 11 chemistry CBSE

Trending doubts
What is meant by exothermic and endothermic reactions class 11 chemistry CBSE

10 examples of friction in our daily life

One Metric ton is equal to kg A 10000 B 1000 C 100 class 11 physics CBSE

1 Quintal is equal to a 110 kg b 10 kg c 100kg d 1000 class 11 physics CBSE

Difference Between Prokaryotic Cells and Eukaryotic Cells

What are Quantum numbers Explain the quantum number class 11 chemistry CBSE

