
Explain the mechanism for nitration of benzene.
Answer
566.1k+ views
Hint: In electrophilic aromatic substitution reaction, the benzene ring acts as a nucleophile. It donates a pair of pi electrons to suitable electrophile. In the next step, deprotonation occurs.
Complete Step by step answer: Explain the mechanism for nitration of benzene.
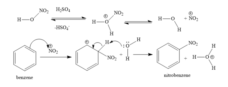
Benzene reacts with nitric acid and sulphuric acid to form nitrobenzene. It is an example of electrophilic aromatic substitution reaction. One hydrogen atom of benzene ring is replaced with nitro group. Nitric acid reacts with sulphuric acid to form nitronium ions.
The pi electrons of benzene are donated to nitronium ions. A carbon-nitrogen bond is formed and the neighboring carbon atom gains unit positive charge. In this step, the aromaticity of the ring is broken. In the next step, this intermediate loses a proton to the water molecule. In this step, the aromaticity of the ring is regenerated.
Additional information: Some other examples of electrophilic aromatic substitution reaction include sulphation, Friedel craft alkylation and Friedel craft acylation reactions.
Note: Aromatic compounds do not undergo addition reactions. Instead they undergo substitution reactions. If an additional reaction is carried out for the aromatic compounds, then the aromaticity of the benzene ring will be lost. This will decrease the stability. However, for substitution reactions, the aromaticity of benzene rings is restored. Hence, substitution is preferred over addition for aromatic compounds.
Complete Step by step answer: Explain the mechanism for nitration of benzene.
Benzene reacts with nitric acid and sulphuric acid to form nitrobenzene. It is an example of electrophilic aromatic substitution reaction. One hydrogen atom of benzene ring is replaced with nitro group. Nitric acid reacts with sulphuric acid to form nitronium ions.
The pi electrons of benzene are donated to nitronium ions. A carbon-nitrogen bond is formed and the neighboring carbon atom gains unit positive charge. In this step, the aromaticity of the ring is broken. In the next step, this intermediate loses a proton to the water molecule. In this step, the aromaticity of the ring is regenerated.
Additional information: Some other examples of electrophilic aromatic substitution reaction include sulphation, Friedel craft alkylation and Friedel craft acylation reactions.
Note: Aromatic compounds do not undergo addition reactions. Instead they undergo substitution reactions. If an additional reaction is carried out for the aromatic compounds, then the aromaticity of the benzene ring will be lost. This will decrease the stability. However, for substitution reactions, the aromaticity of benzene rings is restored. Hence, substitution is preferred over addition for aromatic compounds.
Recently Updated Pages
Which cell organelles are present in white blood C class 11 biology CBSE

What is the molecular geometry of BrF4 A square planar class 11 chemistry CBSE

How can you explain that CCl4 has no dipole moment class 11 chemistry CBSE

Which will undergo SN2 reaction fastest among the following class 11 chemistry CBSE

The values of mass m for which the 100 kg block does class 11 physics CBSE

Why are voluntary muscles called striated muscles class 11 biology CBSE

Trending doubts
Which are the Top 10 Largest Countries of the World?

What are the major means of transport Explain each class 12 social science CBSE

Draw a labelled sketch of the human eye class 12 physics CBSE

Draw the diagram showing the germination of pollen class 12 biology CBSE

Differentiate between insitu conservation and exsitu class 12 biology CBSE

The computer jargonwwww stands for Aworld wide web class 12 physics CBSE

