
Explain the following with one example.
(A) Aldol condensation
(B) Cannizzaro reaction
(C) Esterification
(D) Decarboxylation
Answer
516.3k+ views
Hint: Aldol condensation occurs between two aldehydes or a ketone molecule to form $ \beta - $ hydroxy aldehyde or ketone.
In Cannizzaro reaction two aldehyde molecules react to give alcohol and carboxylic acid.
The process of obtaining esters by the reaction of alcohol and carboxylic acid is known as esterification.
Decarboxylation reaction as the name suggests is the removal of $ C{O_2} $ by eliminating a carboxyl group.
Complete step by step answer:
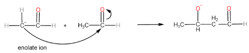
In aldol condensation, the reaction of an enolate ion with a carbonyl compound in the presence of a dilute base to give $ \beta - $ hydroxy aldehyde or ketone. The reaction takes place only if the aldehyde has an $ \alpha - H $ .
Step-I: Formation of enolate ion from $ {1^{st}} $ aldehyde molecule
Step-II: Attack of enolate ion on $ {2^{nd}} $ aldehyde molecule
Step-III: Formation of aldol and regeneration of $ O{H^ - } $ ion
Cannizzaro reaction is the formation of a primary alcohol and a carboxylic acid molecule by the reaction of two aldehyde molecules in the presence of a strong base. The participating aldehyde molecules should not have any $ \alpha - H $ , as such molecules readily form enolate ions and the reaction does not occur.
Step-I: Attack of $ O{H^ - } $ ion on $ {1^{st}} $ aldehyde molecule
Step-II: Transfer of hydride ion to the $ {2^{nd}} $ aldehyde molecule, followed by protonation of alkoxide ion to form alcohol.
Step-III: Protonation of carboxylate ion to form carboxylic acid
The reaction of carboxylic acid with a primary alcohol in the presence of sulphuric acid to form an ester is called esterification reaction.
Step-I: Protonation of carboxylic acid to form carbocation
Step-II: Attack of alcohol on the carbocation followed by proton transfer within the molecule.
Step-III: Removal of $ {H_2}O $ molecule.
Step-IV: Removal of $ {H^ + } $ ion by $ HSO_4^ - $ to form ester and $ {H_2}S{O_4} $
Decarboxylation is the removal of a carboxyl group thereby releasing $ C{O_2} $ usually from a carboxylic acid to form a product with one carbon less than the reacting carboxylic acid.
Note:
Mostly there is a confusion between the aldol condensation and the Cannizzaro reaction. We have to remember that in aldol condensation two aldehyde molecules having $ \alpha - H $ react with each other in the presence of dilute base while in Cannizzaro reaction two aldehyde molecules which do not have $ \alpha - H $ react in the presence of strong base.
In Cannizzaro reaction two aldehyde molecules react to give alcohol and carboxylic acid.
The process of obtaining esters by the reaction of alcohol and carboxylic acid is known as esterification.
Decarboxylation reaction as the name suggests is the removal of $ C{O_2} $ by eliminating a carboxyl group.
Complete step by step answer:
In aldol condensation, the reaction of an enolate ion with a carbonyl compound in the presence of a dilute base to give $ \beta - $ hydroxy aldehyde or ketone. The reaction takes place only if the aldehyde has an $ \alpha - H $ .
Step-I: Formation of enolate ion from $ {1^{st}} $ aldehyde molecule
Step-II: Attack of enolate ion on $ {2^{nd}} $ aldehyde molecule
Step-III: Formation of aldol and regeneration of $ O{H^ - } $ ion
Cannizzaro reaction is the formation of a primary alcohol and a carboxylic acid molecule by the reaction of two aldehyde molecules in the presence of a strong base. The participating aldehyde molecules should not have any $ \alpha - H $ , as such molecules readily form enolate ions and the reaction does not occur.
Step-I: Attack of $ O{H^ - } $ ion on $ {1^{st}} $ aldehyde molecule
Step-II: Transfer of hydride ion to the $ {2^{nd}} $ aldehyde molecule, followed by protonation of alkoxide ion to form alcohol.
Step-III: Protonation of carboxylate ion to form carboxylic acid
The reaction of carboxylic acid with a primary alcohol in the presence of sulphuric acid to form an ester is called esterification reaction.
Step-I: Protonation of carboxylic acid to form carbocation
Step-II: Attack of alcohol on the carbocation followed by proton transfer within the molecule.
Step-III: Removal of $ {H_2}O $ molecule.
Step-IV: Removal of $ {H^ + } $ ion by $ HSO_4^ - $ to form ester and $ {H_2}S{O_4} $
Decarboxylation is the removal of a carboxyl group thereby releasing $ C{O_2} $ usually from a carboxylic acid to form a product with one carbon less than the reacting carboxylic acid.
Note:
Mostly there is a confusion between the aldol condensation and the Cannizzaro reaction. We have to remember that in aldol condensation two aldehyde molecules having $ \alpha - H $ react with each other in the presence of dilute base while in Cannizzaro reaction two aldehyde molecules which do not have $ \alpha - H $ react in the presence of strong base.
Recently Updated Pages
Why are manures considered better than fertilizers class 11 biology CBSE

Find the coordinates of the midpoint of the line segment class 11 maths CBSE

Distinguish between static friction limiting friction class 11 physics CBSE

The Chairman of the constituent Assembly was A Jawaharlal class 11 social science CBSE

The first National Commission on Labour NCL submitted class 11 social science CBSE

Number of all subshell of n + l 7 is A 4 B 5 C 6 D class 11 chemistry CBSE

Trending doubts
What is meant by exothermic and endothermic reactions class 11 chemistry CBSE

10 examples of friction in our daily life

One Metric ton is equal to kg A 10000 B 1000 C 100 class 11 physics CBSE

1 Quintal is equal to a 110 kg b 10 kg c 100kg d 1000 class 11 physics CBSE

Difference Between Prokaryotic Cells and Eukaryotic Cells

What are Quantum numbers Explain the quantum number class 11 chemistry CBSE

