
Explain Gomberg reaction with mechanism.
Answer
559.5k+ views
Hint: Gomberg reaction is known by the name of Gomberg-Bachmann reaction as this reaction is discovered by two scientists known as Gomberg and Bachmann. It is an aryl-aryl coupling reaction with the help of diazonium salt.
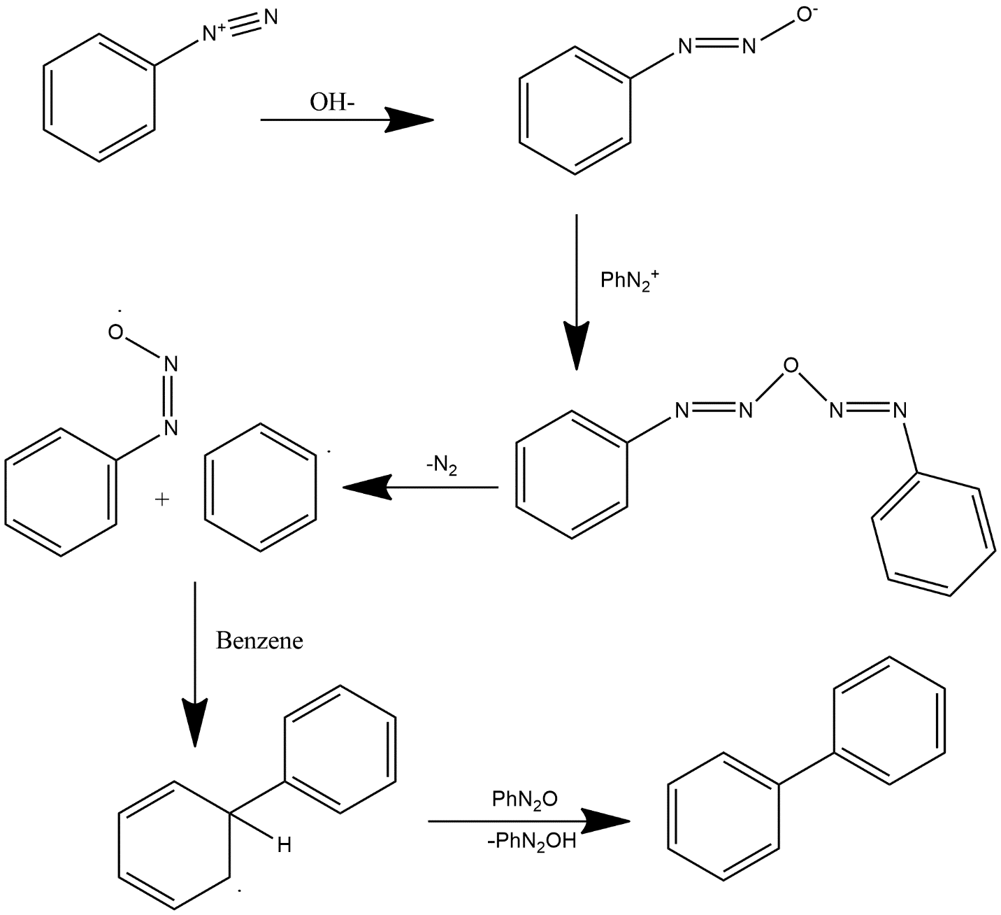
Complete answer: Gomberg reaction is basically start with the starting reactant diazonium salt and diazonium salt can be explained as a group of organic compounds which shares a common functional group represented by $R-{{N}_{2}}^{+}{{X}^{-}}$ where R can be any organic group may be alkyl or aryl and X is halogen.
The mechanism of Gomberg-Bachmann reaction can be explained as follows:
1. In the first step diazonium salt derivative is reacted with hydroxide ion and forms diazonium oxide which further reacts with $Ph{{N}_{2}}^{+}$ and forms a double ring compound.
2. After this loss of nitrogen gas is there which dissociates the molecule into two fragments out of which one is in the form of diazonium oxide and other one is a radical form of benzene.
3. After that diazonium gets reacted with benzene group and forms a biaryl group with the presence of aryl intermediate in this product i.e. H ion is present in this compound.
4. This H atom firstly gets reacted with $Ph{{N}_{2}}O$ which immediately form $Ph{{N}_{2}}OH$ which readily get lost from the compound and it forms biaryl product.
Mechanism can be shown as follows:
Note: Gomberg reaction is generally classified as coupling reaction; these are those reactions in which two fragments are joined together with the help of a metal catalyst. The most common coupling reaction is the cross coupling reaction.
Complete answer: Gomberg reaction is basically start with the starting reactant diazonium salt and diazonium salt can be explained as a group of organic compounds which shares a common functional group represented by $R-{{N}_{2}}^{+}{{X}^{-}}$ where R can be any organic group may be alkyl or aryl and X is halogen.
The mechanism of Gomberg-Bachmann reaction can be explained as follows:
1. In the first step diazonium salt derivative is reacted with hydroxide ion and forms diazonium oxide which further reacts with $Ph{{N}_{2}}^{+}$ and forms a double ring compound.
2. After this loss of nitrogen gas is there which dissociates the molecule into two fragments out of which one is in the form of diazonium oxide and other one is a radical form of benzene.
3. After that diazonium gets reacted with benzene group and forms a biaryl group with the presence of aryl intermediate in this product i.e. H ion is present in this compound.
4. This H atom firstly gets reacted with $Ph{{N}_{2}}O$ which immediately form $Ph{{N}_{2}}OH$ which readily get lost from the compound and it forms biaryl product.
Mechanism can be shown as follows:
Note: Gomberg reaction is generally classified as coupling reaction; these are those reactions in which two fragments are joined together with the help of a metal catalyst. The most common coupling reaction is the cross coupling reaction.
Recently Updated Pages
The number of solutions in x in 02pi for which sqrt class 12 maths CBSE

Write any two methods of preparation of phenol Give class 12 chemistry CBSE

Differentiate between action potential and resting class 12 biology CBSE

Two plane mirrors arranged at right angles to each class 12 physics CBSE

Which of the following molecules is are chiral A I class 12 chemistry CBSE

Name different types of neurons and give one function class 12 biology CBSE

Trending doubts
Which are the Top 10 Largest Countries of the World?

What are the major means of transport Explain each class 12 social science CBSE

Draw a labelled sketch of the human eye class 12 physics CBSE

Differentiate between insitu conservation and exsitu class 12 biology CBSE

The computer jargonwwww stands for Aworld wide web class 12 physics CBSE

State the principle of an ac generator and explain class 12 physics CBSE

