
Draw the graph for uniform retardation-
a) position-time graph
b) velocity-time graph
c) acceleration-time graph
Answer
529.7k+ views
Hint:At first understand what the word retardation and uniform mean. Check the changes that would take place when a motion is uniformly retarded. Check for relation between velocity and acceleration and how change in acceleration would affect velocity.
Complete answer:
We are asked to draw graphs for given options in case of uniform retardation.
At first let’s understand the meaning of retardation, the word retardation means to reduce or to slow. And by uniform retardation means slowing down uniformly that is decrease in velocity of a body is equal in equal amount of time. These also mean that the acceleration is negative.
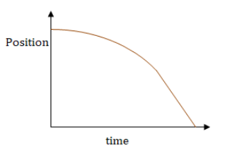
(a) Position-time graph- As velocity decreases in uniform retardation, the position or distance also reduces with time. Thus, the graph will be as shown below
(b) Velocity-time graph- From first equation of motion, we have velocity as
\[v = u + ( - a)t\], as the motion is uniformly retarded so, the acceleration \[a\] will be negative, \[u\] is the initial velocity and \[t\] is the time.
$ \Rightarrow v = u - at$ (i)
We have the equation for the straight line as, \[y = mx + c\] where \[m\] is the slope of \[y\] vs \[x\] graph.
Comparing equation (i), we equation of straight line we observe slope of velocity vs time graph is negative and it is a straight line. Thus, the graph will be as shown below
(c) Acceleration-time graph- We understand for the uniform retardation that change in velocity is equal in equal interval of time and acceleration is rate of change in velocity, as change in velocity is constant, acceleration is also constant. Thus, the graph will be as shown below
Note: A uniform motion means the same or constant with time. If it is said that a body is moving with uniform velocity that would imply that there is no change in velocity with respect to time or velocity is constant. Similarly, if it is said that a body is moving with uniform acceleration that would imply acceleration is constant or it is not changing with time.
Complete answer:
We are asked to draw graphs for given options in case of uniform retardation.
At first let’s understand the meaning of retardation, the word retardation means to reduce or to slow. And by uniform retardation means slowing down uniformly that is decrease in velocity of a body is equal in equal amount of time. These also mean that the acceleration is negative.
(a) Position-time graph- As velocity decreases in uniform retardation, the position or distance also reduces with time. Thus, the graph will be as shown below
(b) Velocity-time graph- From first equation of motion, we have velocity as
\[v = u + ( - a)t\], as the motion is uniformly retarded so, the acceleration \[a\] will be negative, \[u\] is the initial velocity and \[t\] is the time.
$ \Rightarrow v = u - at$ (i)
We have the equation for the straight line as, \[y = mx + c\] where \[m\] is the slope of \[y\] vs \[x\] graph.
Comparing equation (i), we equation of straight line we observe slope of velocity vs time graph is negative and it is a straight line. Thus, the graph will be as shown below
(c) Acceleration-time graph- We understand for the uniform retardation that change in velocity is equal in equal interval of time and acceleration is rate of change in velocity, as change in velocity is constant, acceleration is also constant. Thus, the graph will be as shown below
Note: A uniform motion means the same or constant with time. If it is said that a body is moving with uniform velocity that would imply that there is no change in velocity with respect to time or velocity is constant. Similarly, if it is said that a body is moving with uniform acceleration that would imply acceleration is constant or it is not changing with time.
Recently Updated Pages
Master Class 11 Business Studies: Engaging Questions & Answers for Success

Master Class 11 Computer Science: Engaging Questions & Answers for Success

Master Class 11 Economics: Engaging Questions & Answers for Success

Master Class 11 Social Science: Engaging Questions & Answers for Success

Master Class 11 English: Engaging Questions & Answers for Success

Master Class 11 Chemistry: Engaging Questions & Answers for Success

Trending doubts
Draw a diagram of nephron and explain its structur class 11 biology CBSE

Explain zero factorial class 11 maths CBSE

Chemical formula of Bleaching powder is A Ca2OCl2 B class 11 chemistry CBSE

One Metric ton is equal to kg A 10000 B 1000 C 100 class 11 physics CBSE

A solution of a substance X is used for white washing class 11 chemistry CBSE

Differentiate between calcination and roasting class 11 chemistry CBSE

