
what is the difference between PET and PVC?
Answer
493.8k+ views
Hint: Polymers are macromolecules which contain a large number of repeating units (called monomers). PET stands for polyethylene terephthalate and is thermoplastic polymer resin. PVC refers to polyvinyl chloride and is a rigid plastic.
Complete answer:
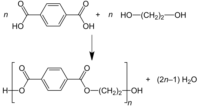
PET stands for polyethylene terephthalate in which monomeric units are ethylene glycol and terephthalic acid. These monomers undergo condensation polymerization to obtain polyethylene terephthalate (polyester). This polymerization reaction is illustrated in the following diagram:
PET is a thermoplastic polymer which can be moulded into different shapes and then cool to increase resistance. PET can withstand UV rays and have more durability. That’s why it is used for thermoformed packaging for instance packaging of food.
On the other hand, PVC stands for polyvinyl chloride in which the monomeric unit is vinyl chloride. These monomers undergo additional polymerization to obtain polyvinyl chloride. This polymerization reaction is illustrated in the following diagram:
PVC is rigid plastic and can withstand high temperature and have some durability. Hence it is used in making drainage pipes, cable wire insulation, medical devices and footwear.
It is worth mentioning that PET is much stronger and has more durability in comparison to PVC.
Note:
It is important to note that PET is polyethylene terephthalate while PVC is polyvinyl chloride. PET is a thermoplastic polymer resin of polyester which can be moulded into different shapes to increase resistance. PET can withstand UV rays while PVC does not.
Complete answer:
PET stands for polyethylene terephthalate in which monomeric units are ethylene glycol and terephthalic acid. These monomers undergo condensation polymerization to obtain polyethylene terephthalate (polyester). This polymerization reaction is illustrated in the following diagram:
PET is a thermoplastic polymer which can be moulded into different shapes and then cool to increase resistance. PET can withstand UV rays and have more durability. That’s why it is used for thermoformed packaging for instance packaging of food.
On the other hand, PVC stands for polyvinyl chloride in which the monomeric unit is vinyl chloride. These monomers undergo additional polymerization to obtain polyvinyl chloride. This polymerization reaction is illustrated in the following diagram:
PVC is rigid plastic and can withstand high temperature and have some durability. Hence it is used in making drainage pipes, cable wire insulation, medical devices and footwear.
It is worth mentioning that PET is much stronger and has more durability in comparison to PVC.
Note:
It is important to note that PET is polyethylene terephthalate while PVC is polyvinyl chloride. PET is a thermoplastic polymer resin of polyester which can be moulded into different shapes to increase resistance. PET can withstand UV rays while PVC does not.
Recently Updated Pages
Master Class 11 Maths: Engaging Questions & Answers for Success

Master Class 11 Chemistry: Engaging Questions & Answers for Success

Master Class 11 Physics: Engaging Questions & Answers for Success

Why are manures considered better than fertilizers class 11 biology CBSE

Find the coordinates of the midpoint of the line segment class 11 maths CBSE

Distinguish between static friction limiting friction class 11 physics CBSE

Trending doubts
What is meant by exothermic and endothermic reactions class 11 chemistry CBSE

10 examples of friction in our daily life

One Metric ton is equal to kg A 10000 B 1000 C 100 class 11 physics CBSE

Difference Between Prokaryotic Cells and Eukaryotic Cells

What are Quantum numbers Explain the quantum number class 11 chemistry CBSE

1 Quintal is equal to a 110 kg b 10 kg c 100kg d 1000 class 11 physics CBSE

