
When the aromatic hydrocarbon naphthalene reacts with nitric and sulfuric acid, two compounds containing one nitro group are formed. What are the structures of these two compounds?
Answer
487.8k+ views
Hint: The reaction of aromatic hydrocarbon naphthalene with nitric and sulfuric acid is an electrophilic aromatic substitution. The electrophilic substitution reaction contains: nitration, halogenation and alkylation reaction.
Complete answer:
In electrophilic aromatic substitution, naphthalene reacts more readily than benzene. The two compounds formed by the nitration of naphthalene is an electrophilic aromatic substitution which gives two products namely: 1-nitronaphthalene and 2-nitronaphthalene.
The nitronium ion, $N{O_2}^ + $ is the active nitrating agent in nitric acid-sulfuric acid mixture. Substitution usually occurs more readily at the one position than at the two positions because the intermediate for $1 - $ substitution is more stable than $2 - $ substitution. The reason is that the most favorable resonance structures for either intermediate are those that have one fully aromatic ring.
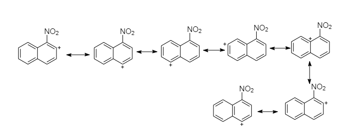
Nitration at ${1^{st}} - C$ produces a carbocation that has seven resonance structures, which preserve the atomicity of the second ring more favorably.
Nitration at ${2^{nd}} - C$ produces a carbocation that has six resonance structures, but preserve the atomicity of the second ring less than the first.
So the attack at first position is more stable intermediate than the attack at the second position intermediate form.
So, the major product is 1-nitronaphthalene and the minor product will be 2-nitronaphthalene.
Note:
The chlorination and bromination of naphthalene proceeds without a catalyst to give 1-chloronaphthalene and 1-bromonaphthalene, respectively. Naphthalene can also be easily alkylated by reaction with alkenes or alcohols, using sulfuric acid or phosphoric acid.
Complete answer:
In electrophilic aromatic substitution, naphthalene reacts more readily than benzene. The two compounds formed by the nitration of naphthalene is an electrophilic aromatic substitution which gives two products namely: 1-nitronaphthalene and 2-nitronaphthalene.
The nitronium ion, $N{O_2}^ + $ is the active nitrating agent in nitric acid-sulfuric acid mixture. Substitution usually occurs more readily at the one position than at the two positions because the intermediate for $1 - $ substitution is more stable than $2 - $ substitution. The reason is that the most favorable resonance structures for either intermediate are those that have one fully aromatic ring.
Nitration at ${1^{st}} - C$ produces a carbocation that has seven resonance structures, which preserve the atomicity of the second ring more favorably.
Nitration at ${2^{nd}} - C$ produces a carbocation that has six resonance structures, but preserve the atomicity of the second ring less than the first.
So the attack at first position is more stable intermediate than the attack at the second position intermediate form.
So, the major product is 1-nitronaphthalene and the minor product will be 2-nitronaphthalene.
Note:
The chlorination and bromination of naphthalene proceeds without a catalyst to give 1-chloronaphthalene and 1-bromonaphthalene, respectively. Naphthalene can also be easily alkylated by reaction with alkenes or alcohols, using sulfuric acid or phosphoric acid.
Recently Updated Pages
The number of solutions in x in 02pi for which sqrt class 12 maths CBSE

Write any two methods of preparation of phenol Give class 12 chemistry CBSE

Differentiate between action potential and resting class 12 biology CBSE

Two plane mirrors arranged at right angles to each class 12 physics CBSE

Which of the following molecules is are chiral A I class 12 chemistry CBSE

Name different types of neurons and give one function class 12 biology CBSE

Trending doubts
Which are the Top 10 Largest Countries of the World?

What are the major means of transport Explain each class 12 social science CBSE

Draw a labelled sketch of the human eye class 12 physics CBSE

Differentiate between insitu conservation and exsitu class 12 biology CBSE

The computer jargonwwww stands for Aworld wide web class 12 physics CBSE

State the principle of an ac generator and explain class 12 physics CBSE

