
What are two conformations of cis-1,4-dimethyl cyclohexane?
Answer
512.7k+ views
Hint : Just two stereoisomers, cis- and trans- 1,4-dimethyl cyclohexane, have an internal symmetry plane. As a result, both are meso compounds (optically inactive). Only cis-1,3-dimethyl cyclohexane, unlike 1,4-dimethyl cyclohexane, has an internal symmetry plane, whereas trans-1,3-dimethyl cyclohexane does not.
Complete Step By Step Answer:
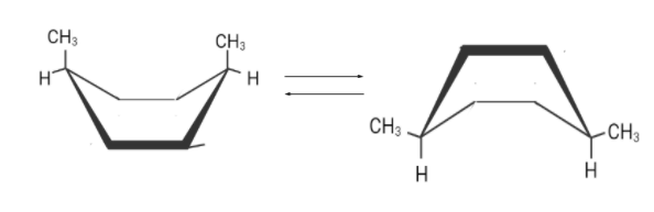
Cis-1,4-dimethyl cyclohexane has one chair conformation and two boat conformations. The chair conformation of cyclohexane is more stable than the boat conformation since the $C - H$ bonds are similarly axial and equatorial in the chair conformation, i.e., six of the twelve $C - H$bonds are axial and six are equatorial, and each carbon has one axial and one equatorial $C - H$bond.
The chain structure of cis-1,4-dimethyl cyclohexane
There are two flipped boat conformations . Although both are different but the right one is more stable.
Similarly there are two flipped cyclohexane chairs. These two conformations are identical.
Note :
This compound can be used in various real life applications. The absorption of ultrasonic waves that can be calculated using a reverberation method has been studied using cis-1,4-dimethylcyclohexane.
Complete Step By Step Answer:
Cis-1,4-dimethyl cyclohexane has one chair conformation and two boat conformations. The chair conformation of cyclohexane is more stable than the boat conformation since the $C - H$ bonds are similarly axial and equatorial in the chair conformation, i.e., six of the twelve $C - H$bonds are axial and six are equatorial, and each carbon has one axial and one equatorial $C - H$bond.
The chain structure of cis-1,4-dimethyl cyclohexane
There are two flipped boat conformations . Although both are different but the right one is more stable.
Similarly there are two flipped cyclohexane chairs. These two conformations are identical.
Note :
This compound can be used in various real life applications. The absorption of ultrasonic waves that can be calculated using a reverberation method has been studied using cis-1,4-dimethylcyclohexane.
Recently Updated Pages
Why are manures considered better than fertilizers class 11 biology CBSE

Find the coordinates of the midpoint of the line segment class 11 maths CBSE

Distinguish between static friction limiting friction class 11 physics CBSE

The Chairman of the constituent Assembly was A Jawaharlal class 11 social science CBSE

The first National Commission on Labour NCL submitted class 11 social science CBSE

Number of all subshell of n + l 7 is A 4 B 5 C 6 D class 11 chemistry CBSE

Trending doubts
Differentiate between an exothermic and an endothermic class 11 chemistry CBSE

10 examples of friction in our daily life

One Metric ton is equal to kg A 10000 B 1000 C 100 class 11 physics CBSE

Difference Between Prokaryotic Cells and Eukaryotic Cells

1 Quintal is equal to a 110 kg b 10 kg c 100kg d 1000 class 11 physics CBSE

State the laws of reflection of light

