
What are the three parts of a nucleotide?
Answer
515.4k+ views
Hint: Nucleotides are organic molecules consisting of a nucleoside and a phosphate. They function as monomeric units of the macromolecule polymers desoxyribonucleic acid and RNA , both of which are essential biomolecules within all life-forms on Earth.
Complete answer:
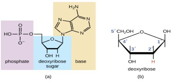
A nucleotide is an organic molecule that serves as the foundation for DNA and RNA. They also play roles in cell signaling, metabolism, and enzyme reactions. A nucleotide consists of three components: a phosphate group, a 5-carbon sugar, and a nitrogenous base. Adenine, cytosine, guanine, and thymine are the four nitrogenous bases found in DNA.
Instead of thymine, RNA contains uracil.The genetic material of all known living things is made up of nucleotides in a chain. Outside of genetic information storage, they also function as messengers and energy moving molecules.
A codon is a three-nucleotide sequence within the DNA that directs the proteins within the cell to attach a specific protein to a series specified by the rest of the DNA. Special codons even tell the machinery when and where to stop the process.
DNA translation, as it is known, is the process of converting information from DNA into the language of proteins. This amino acid chain can then be properly folded, and provide one of many functions within the cell.
Thus, A nucleotide is made up of three components: a nitrogenous base, pentose, and phosphate.
Note: A nucleotide can perform other functions in addition to being the basic unit of genetic material for all living things. A nucleotide can function as a base in another molecule, such as adenosine triphosphate (ATP), the cell's main energy molecule. They are also found in coenzymes derived from ADP, such as NAD and NADP; these molecules are used in a variety of chemical reactions that contribute to metabolism.
Complete answer:
A nucleotide is an organic molecule that serves as the foundation for DNA and RNA. They also play roles in cell signaling, metabolism, and enzyme reactions. A nucleotide consists of three components: a phosphate group, a 5-carbon sugar, and a nitrogenous base. Adenine, cytosine, guanine, and thymine are the four nitrogenous bases found in DNA.
Instead of thymine, RNA contains uracil.The genetic material of all known living things is made up of nucleotides in a chain. Outside of genetic information storage, they also function as messengers and energy moving molecules.
A codon is a three-nucleotide sequence within the DNA that directs the proteins within the cell to attach a specific protein to a series specified by the rest of the DNA. Special codons even tell the machinery when and where to stop the process.
DNA translation, as it is known, is the process of converting information from DNA into the language of proteins. This amino acid chain can then be properly folded, and provide one of many functions within the cell.
Thus, A nucleotide is made up of three components: a nitrogenous base, pentose, and phosphate.
Note: A nucleotide can perform other functions in addition to being the basic unit of genetic material for all living things. A nucleotide can function as a base in another molecule, such as adenosine triphosphate (ATP), the cell's main energy molecule. They are also found in coenzymes derived from ADP, such as NAD and NADP; these molecules are used in a variety of chemical reactions that contribute to metabolism.
Recently Updated Pages
Master Class 11 Business Studies: Engaging Questions & Answers for Success

Master Class 11 Computer Science: Engaging Questions & Answers for Success

Master Class 11 Economics: Engaging Questions & Answers for Success

Master Class 11 Social Science: Engaging Questions & Answers for Success

Master Class 11 English: Engaging Questions & Answers for Success

Master Class 11 Chemistry: Engaging Questions & Answers for Success

Trending doubts
Draw a diagram of nephron and explain its structur class 11 biology CBSE

Explain zero factorial class 11 maths CBSE

Chemical formula of Bleaching powder is A Ca2OCl2 B class 11 chemistry CBSE

One Metric ton is equal to kg A 10000 B 1000 C 100 class 11 physics CBSE

A solution of a substance X is used for white washing class 11 chemistry CBSE

Differentiate between calcination and roasting class 11 chemistry CBSE

