
What are the products formed when phenol and nitrobenzene are treated separately with a mixture of concentrated sulfuric acid and concentrated nitric acid?
Answer
592.5k+ views
Hint: To answer this question you must know how benzene and nitrobenzene differ in reaction with a mixture of concentrated sulfuric acid and concentrated nitric acid. In these reactions, ring activation and deactivation plays an important role. Now you have to think about the formation of products.
Complete step by step answer:
When the mixture of concentrated sulphuric acid and concentrated nitric acid reacts together generates the nitronium ion, which acts as an electrophile in electrophilic aromatic substitution reaction.
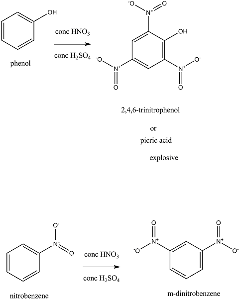
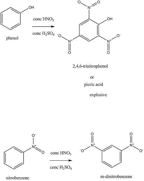
When phenol is treated separately with a mixture of concentrated sulphuric acid and concentrated nitric acid, 2,4,6-trinitrophenol ( also known as picric acid) is obtained. Hydroxyl group is an activating group here and so it is ortho, para directing. In this reaction conditions are so favorable that the nitro group is attached to all ortho and para positions.
When nitrobenzene is treated separately with a mixture of concentrated sulphuric acid and concentrated nitric acid, m-dinitrobenzene acid is obtained. Nitro group is a deactivating group present here and so it is meta directing.
Therefore, we can conclude that picric acid and m-dinitrobenzene are the products formed when phenol and nitrobenzene are treated separately with a mixture of concentrated sulfuric acid and concentrated nitric acid.
Note: You should also know that the largest use of Picric acid has been in munitions and explosives. Explosive D, also known as Dunnite, is the ammonium salt of picric acid—more powerful but less stable than the more common explosive TNT.
Complete step by step answer:
When the mixture of concentrated sulphuric acid and concentrated nitric acid reacts together generates the nitronium ion, which acts as an electrophile in electrophilic aromatic substitution reaction.
When phenol is treated separately with a mixture of concentrated sulphuric acid and concentrated nitric acid, 2,4,6-trinitrophenol ( also known as picric acid) is obtained. Hydroxyl group is an activating group here and so it is ortho, para directing. In this reaction conditions are so favorable that the nitro group is attached to all ortho and para positions.
When nitrobenzene is treated separately with a mixture of concentrated sulphuric acid and concentrated nitric acid, m-dinitrobenzene acid is obtained. Nitro group is a deactivating group present here and so it is meta directing.
Therefore, we can conclude that picric acid and m-dinitrobenzene are the products formed when phenol and nitrobenzene are treated separately with a mixture of concentrated sulfuric acid and concentrated nitric acid.
Note: You should also know that the largest use of Picric acid has been in munitions and explosives. Explosive D, also known as Dunnite, is the ammonium salt of picric acid—more powerful but less stable than the more common explosive TNT.
Recently Updated Pages
A man running at a speed 5 ms is viewed in the side class 12 physics CBSE

State and explain Hardy Weinbergs Principle class 12 biology CBSE

Which of the following statements is wrong a Amnion class 12 biology CBSE

Two Planoconcave lenses 1 and 2 of glass of refractive class 12 physics CBSE

The compound 2 methyl 2 butene on reaction with NaIO4 class 12 chemistry CBSE

Bacterial cell wall is made up of A Cellulose B Hemicellulose class 12 biology CBSE

Trending doubts
What are the major means of transport Explain each class 12 social science CBSE

Which are the Top 10 Largest Countries of the World?

Draw a labelled sketch of the human eye class 12 physics CBSE

Explain sex determination in humans with line diag class 12 biology CBSE

The pH of the pancreatic juice is A 64 B 86 C 120 D class 12 biology CBSE

Give 10 examples of unisexual and bisexual flowers

