
How are \[1 - \] nitro propane, \[2 - \]Nitro propane and \[2 - \]methyl-\[2 - \]-nitropropane distinguished from each other using the nitrous acid?
Answer
533.1k+ views
Hint: \[2 - \]Nitropropane is a synthetic colourless liquid, flammable in nature and slightly soluble in water whereas greatly soluble in aromatic compounds like ether, hydrocarbons, esters, ketones. Its molecular formula is\[{C_3}{H_7}N{O_2}\].
Complete answer:
Now let’s move to each option one by one to see their reaction with nitrous acid, as they react with nitrous acid to produce coloured compounds.
So , first taking \[1 - \] nitropropane – It reacts with nitrous acid to produce blue colored intermediate compound nitroso nitroalkanes , which further dissolves in alkali \[NaOH\] to produce red colored compound as shown in figure given below .
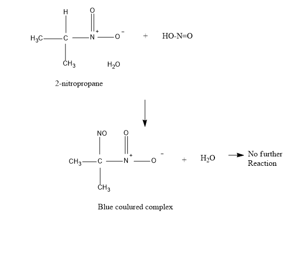
Now, talking about \[2 - \]Nitropropane – It also reacts with nitrous acid to produce blue colored intermediate compound nitroso nitroalkanes. But further it does not dissolve in alkali \[NaOH\] , because of the absence of \[\alpha - H\], (alpha hydrogen) .
Coming to \[2 - \]methyl-\[2 - \]-nitropropane, it does not react even with nitrous acid to produce blue colored intermediate compound nitroso nitroalkanes because of the absence of\[\alpha - H\], (alpha hydrogen).
So, here we are clear about the way to distinguish between \[1 - \] nitropropane, \[2 - \]Nitropropane and \[2 - \]methyl-\[2 - \]-nitropropane.
Note:
\[1 - \] nitropropane is used as starting material for the formation of other compounds especially in paint industries. \[2 - \] Nitro propane is used as a solvent or additive in inks, varnishes, polymers. It is used as a solvent and also used in pharmaceutical companies for the formation of compounds like chlorphentermine , teclozan , phentermine . Basically they have a great use in chemical industries also especially in paint based industries .
Complete answer:
Now let’s move to each option one by one to see their reaction with nitrous acid, as they react with nitrous acid to produce coloured compounds.
So , first taking \[1 - \] nitropropane – It reacts with nitrous acid to produce blue colored intermediate compound nitroso nitroalkanes , which further dissolves in alkali \[NaOH\] to produce red colored compound as shown in figure given below .
Now, talking about \[2 - \]Nitropropane – It also reacts with nitrous acid to produce blue colored intermediate compound nitroso nitroalkanes. But further it does not dissolve in alkali \[NaOH\] , because of the absence of \[\alpha - H\], (alpha hydrogen) .
Coming to \[2 - \]methyl-\[2 - \]-nitropropane, it does not react even with nitrous acid to produce blue colored intermediate compound nitroso nitroalkanes because of the absence of\[\alpha - H\], (alpha hydrogen).
So, here we are clear about the way to distinguish between \[1 - \] nitropropane, \[2 - \]Nitropropane and \[2 - \]methyl-\[2 - \]-nitropropane.
Note:
\[1 - \] nitropropane is used as starting material for the formation of other compounds especially in paint industries. \[2 - \] Nitro propane is used as a solvent or additive in inks, varnishes, polymers. It is used as a solvent and also used in pharmaceutical companies for the formation of compounds like chlorphentermine , teclozan , phentermine . Basically they have a great use in chemical industries also especially in paint based industries .
Recently Updated Pages
Basicity of sulphurous acid and sulphuric acid are

Master Class 11 Business Studies: Engaging Questions & Answers for Success

Master Class 11 Computer Science: Engaging Questions & Answers for Success

Master Class 11 Economics: Engaging Questions & Answers for Success

Master Class 11 Social Science: Engaging Questions & Answers for Success

Master Class 11 English: Engaging Questions & Answers for Success

Trending doubts
One Metric ton is equal to kg A 10000 B 1000 C 100 class 11 physics CBSE

The largest wind power cluster is located in the state class 11 social science CBSE

Explain zero factorial class 11 maths CBSE

State and prove Bernoullis theorem class 11 physics CBSE

What steps did the French revolutionaries take to create class 11 social science CBSE

Which among the following are examples of coming together class 11 social science CBSE

