
When adenine is attached to ribose sugar, it is called adenosine. To make a nucleotide, would it require ?
A. Oxygenation
B. Addition of a base
C. Addition of phosphate
D. Hydrogenation
Answer
573.3k+ views
Hint: Nucleotide is an organic molecule. It is a compound consisting of three parts that are :- A nucleobase , pentose sugar (either ribose or deoxy-rebose ) and a phosphate group. Adenine is a nucleobase
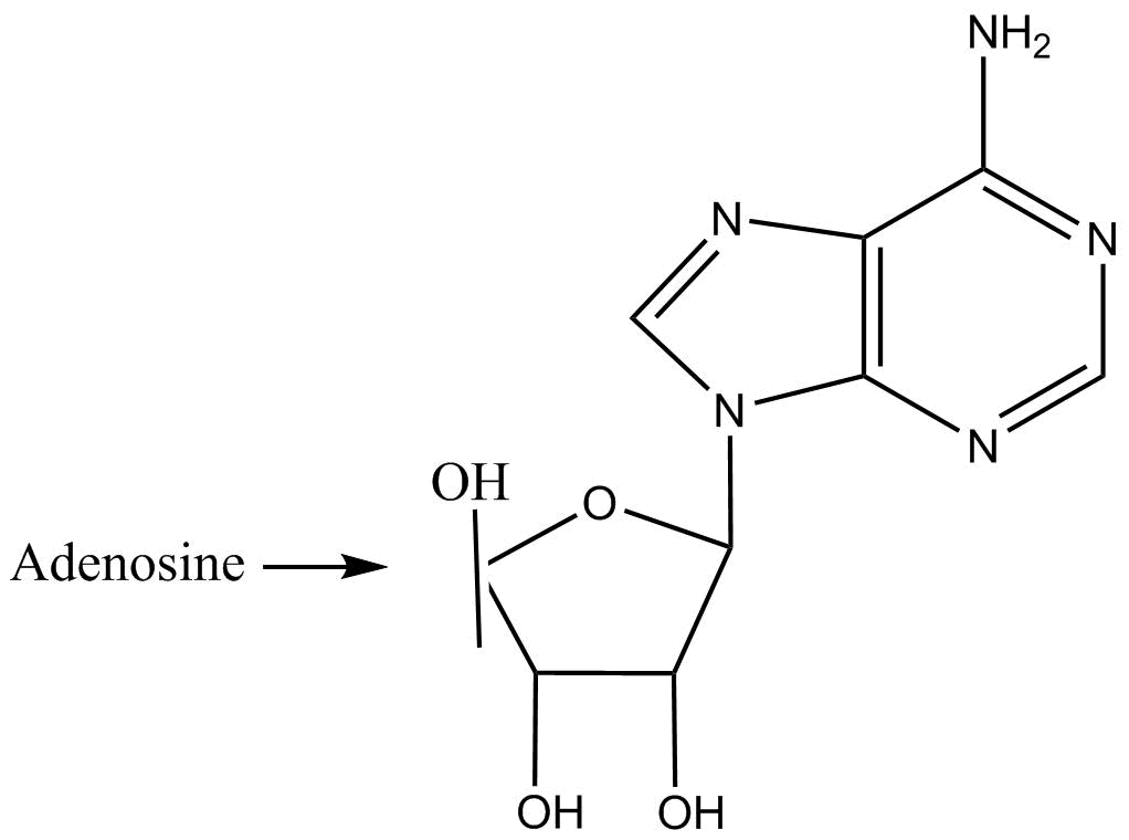
Complete step by step answer: As per question, adenine (a nucleobase) is attached to ribose sugar .
Ie. ${\text{a nucleobase + ribose sugar}}$ $\to {\text{nucleoside}}$
Nucleoside A adenine and ribose sugar is known as adenosine. Its structure is as shown below.
When one or more phosphates are added with a nucleoside, it forms a nucleotide.
\[\operatorname{ie} .\;\;\;nucleoside\; + \;phosphate \to nucleotide\]
Therefore, we need to add phosphate in adenine to make it a nucleotide. nucleotide of adenine is adenine phosphate which consists of :-
${\text{Adenine + ribose sugar }} \to {\text{ Adenosine}}$
${\text{Adenosine + 3 phosphate }} \to {\text{Adenosine triphosphate}}$
The structure of Adenosine triphosphate (ATP) is :-
Adenosine triphosphate (ATP) is the energy currency of a cell. It is involved in signal transductions as a substrate for kinase enzymes that transfer phosphate groups. ATP is an essential monomer required to synthesize RNA.
Hence, the correct option is (C) Addition of phosphate.
Note: There are five nucleotides is ${\text{APT}} \to $Adenosine triphosphate, ${\text{GPT}} \to $Guanosine triphosphate, ${\text{CPT}} \to $Cytidine triphosphate, ${\text{UPT}} \to $Uridine triphosphate and ${\text{TTP}} \to $Thymidine triphosphate each of nucleobase Adenine, Guanine, Cytosine, Uracil and thymine respectively
Complete step by step answer: As per question, adenine (a nucleobase) is attached to ribose sugar .
Ie. ${\text{a nucleobase + ribose sugar}}$ $\to {\text{nucleoside}}$
Nucleoside A adenine and ribose sugar is known as adenosine. Its structure is as shown below.
When one or more phosphates are added with a nucleoside, it forms a nucleotide.
\[\operatorname{ie} .\;\;\;nucleoside\; + \;phosphate \to nucleotide\]
Therefore, we need to add phosphate in adenine to make it a nucleotide. nucleotide of adenine is adenine phosphate which consists of :-
${\text{Adenine + ribose sugar }} \to {\text{ Adenosine}}$
${\text{Adenosine + 3 phosphate }} \to {\text{Adenosine triphosphate}}$
The structure of Adenosine triphosphate (ATP) is :-
Adenosine triphosphate (ATP) is the energy currency of a cell. It is involved in signal transductions as a substrate for kinase enzymes that transfer phosphate groups. ATP is an essential monomer required to synthesize RNA.
Hence, the correct option is (C) Addition of phosphate.
Note: There are five nucleotides is ${\text{APT}} \to $Adenosine triphosphate, ${\text{GPT}} \to $Guanosine triphosphate, ${\text{CPT}} \to $Cytidine triphosphate, ${\text{UPT}} \to $Uridine triphosphate and ${\text{TTP}} \to $Thymidine triphosphate each of nucleobase Adenine, Guanine, Cytosine, Uracil and thymine respectively
Recently Updated Pages
Why are manures considered better than fertilizers class 11 biology CBSE

Find the coordinates of the midpoint of the line segment class 11 maths CBSE

Distinguish between static friction limiting friction class 11 physics CBSE

The Chairman of the constituent Assembly was A Jawaharlal class 11 social science CBSE

The first National Commission on Labour NCL submitted class 11 social science CBSE

Number of all subshell of n + l 7 is A 4 B 5 C 6 D class 11 chemistry CBSE

Trending doubts
Differentiate between an exothermic and an endothermic class 11 chemistry CBSE

10 examples of friction in our daily life

One Metric ton is equal to kg A 10000 B 1000 C 100 class 11 physics CBSE

Difference Between Prokaryotic Cells and Eukaryotic Cells

1 Quintal is equal to a 110 kg b 10 kg c 100kg d 1000 class 11 physics CBSE

State the laws of reflection of light

