
Acyl halide and acid halide are the same groups.
A. True
B. False
Answer
596.4k+ views
Hint- An acid halide is a chemical compound which is derived from an oxoacid by replacing a hydroxyl group with a halide group. and sometimes it is also called as acyl halide If the acid is a carboxylic acid, the compound contains a (–COX) functional group, which consists of a carbonyl group singly bonded to a halogen atom.
Complete answer:
Acyl halide and acid halide are the same groups. They represent the function group.
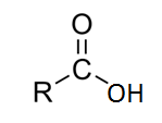
where X is a halogen atom which is Group 17 (Group VII a) of the periodic table i.e. (F, Cl, Br or I). and these are derived from carboxylic acids (which configuration shown below) by replacing a hydroxyl group (-OH) with a halide group.
Therefore, from above we understand that,
Acid halides are one example of an acid derivative of carboxylic acid. In this example, the alcohol (-OH) group has been replaced by a chlorine atom; chlorine is the most commonly used acid halide.
For example-
The given statement is True.
Note- Acyl chlorides are the most reactive carboxylic acid derivatives. The electronegative chlorine atom pulls electrons toward it in the C-Cl bond, which makes the carbonyl carbon more electrophilic. This makes nucleophilic attack easier.
Complete answer:
Acyl halide and acid halide are the same groups. They represent the function group.
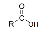
where X is a halogen atom which is Group 17 (Group VII a) of the periodic table i.e. (F, Cl, Br or I). and these are derived from carboxylic acids (which configuration shown below) by replacing a hydroxyl group (-OH) with a halide group.
Therefore, from above we understand that,
Acid halides are one example of an acid derivative of carboxylic acid. In this example, the alcohol (-OH) group has been replaced by a chlorine atom; chlorine is the most commonly used acid halide.
For example-
The given statement is True.
Note- Acyl chlorides are the most reactive carboxylic acid derivatives. The electronegative chlorine atom pulls electrons toward it in the C-Cl bond, which makes the carbonyl carbon more electrophilic. This makes nucleophilic attack easier.
Recently Updated Pages
A man running at a speed 5 ms is viewed in the side class 12 physics CBSE

State and explain Hardy Weinbergs Principle class 12 biology CBSE

Which of the following statements is wrong a Amnion class 12 biology CBSE

Two Planoconcave lenses 1 and 2 of glass of refractive class 12 physics CBSE

The compound 2 methyl 2 butene on reaction with NaIO4 class 12 chemistry CBSE

Bacterial cell wall is made up of A Cellulose B Hemicellulose class 12 biology CBSE

Trending doubts
Explain sex determination in humans with line diag class 12 biology CBSE

The pH of the pancreatic juice is A 64 B 86 C 120 D class 12 biology CBSE

Which prominent US inventor was known as the Wizard class 12 social science CBSE

Which state in India is known as the Granary of India class 12 social science CBSE

Draw a ray diagram of compound microscope when the class 12 physics CBSE

When was the first election held in India a 194748 class 12 sst CBSE

