
Acetone + A $ \to $ Oxime of acetone
Acetone + B $ \to $ Diacetone amine
Acetone + C $ \to $ Mesitylene
Acetone + D $ \to $ Isopropylidene chloride
A, B, C and D are:
(A) $N{H_2}OH,N{H_3},Conc.{H_2}S{O_4},SOC{l_2}$
(B) $HN{O_2},N{H_3},Conc.{H_2}S{O_4},PC{l_5}$
(C) $HN{O_2},N{H_3},Conc.{H_2}S{O_4},C{l_2}$
(D) $N{H_2}OH,N{H_3},{H_2}S{O_4},C{l_2}$
Answer
564k+ views
Hint: Oxime of acetone contains a carbon-nitrogen double bond. We require a compound which contains nitrogen atoms to get diacetone amine from acetone. Mesitylene is 1,3,5-trimethylbenzene.
Complete step by step solution:
We will find the reagents needed to obtain given compounds from acetone.
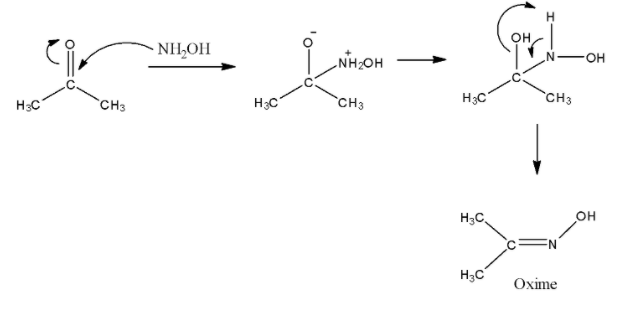
- To make oxime of acetone, we know that we require hydroxylamine. Nitrogen atoms of $N{H_2}OH$ attack the carbonyl carbon and then a water molecule is lost to form oxime. The reaction is given as under.
- To make diacetone amine, we require ammonia as a reagent. Actually, two moles of acetone reacts with one mole of ammonia to give one molecule of diacetone amine and water. The reaction requires high temperature. The reaction can be shown as under.
- To obtain mesitylene from acetone, we require concentrated sulphuric acid as a reagent. We require three molecules of acetone to form one molecule of mesitylene. Mesitylene is also called 1,3,5-trimethylbenzene. The reaction can be given as below.
- Isopropylidene chloride is a compound which is a germinal dichloride. That means two chlorine atoms are bonded with the same carbon atom. Thionyl chloride ($SOC{l_2}$) and Phosphorus pentachloride($PC{l_5}$) can convert acetone to isopropylidene chloride. The reaction can be given as
Thus, we can conclude that the correct answer of this question is (A).
Note: Chlorine gas cannot react with carbonyl groups. Actually, chlorine gas in presence of light can do chlorination of alkyl side chains or alkyl groups. Remember that isopropylidene chloride is also called acetone chloride or acetone dichloride as well.
Complete step by step solution:
We will find the reagents needed to obtain given compounds from acetone.
- To make oxime of acetone, we know that we require hydroxylamine. Nitrogen atoms of $N{H_2}OH$ attack the carbonyl carbon and then a water molecule is lost to form oxime. The reaction is given as under.
- To make diacetone amine, we require ammonia as a reagent. Actually, two moles of acetone reacts with one mole of ammonia to give one molecule of diacetone amine and water. The reaction requires high temperature. The reaction can be shown as under.
- To obtain mesitylene from acetone, we require concentrated sulphuric acid as a reagent. We require three molecules of acetone to form one molecule of mesitylene. Mesitylene is also called 1,3,5-trimethylbenzene. The reaction can be given as below.
- Isopropylidene chloride is a compound which is a germinal dichloride. That means two chlorine atoms are bonded with the same carbon atom. Thionyl chloride ($SOC{l_2}$) and Phosphorus pentachloride($PC{l_5}$) can convert acetone to isopropylidene chloride. The reaction can be given as
Thus, we can conclude that the correct answer of this question is (A).
Note: Chlorine gas cannot react with carbonyl groups. Actually, chlorine gas in presence of light can do chlorination of alkyl side chains or alkyl groups. Remember that isopropylidene chloride is also called acetone chloride or acetone dichloride as well.
Recently Updated Pages
Master Class 12 Business Studies: Engaging Questions & Answers for Success

Master Class 12 Economics: Engaging Questions & Answers for Success

Master Class 12 English: Engaging Questions & Answers for Success

Master Class 12 Maths: Engaging Questions & Answers for Success

Master Class 12 Social Science: Engaging Questions & Answers for Success

Master Class 12 Chemistry: Engaging Questions & Answers for Success

Trending doubts
What are the major means of transport Explain each class 12 social science CBSE

Which are the Top 10 Largest Countries of the World?

Draw a labelled sketch of the human eye class 12 physics CBSE

Explain sex determination in humans with line diag class 12 biology CBSE

The pH of the pancreatic juice is A 64 B 86 C 120 D class 12 biology CBSE

Explain sex determination in humans with the help of class 12 biology CBSE

