
A mapping is selected at random from all the mappings defined on the set. A consisting of three distinct elements. The probability that the mapping selected is one to one is
A.$\dfrac{1}{9}$
B.$\dfrac{1}{3}$
C.$\dfrac{1}{4}$
D.$\dfrac{2}{9}$
Answer
578.4k+ views
Hint:
If A and B are two non-empty sets, then a relation ‘f’ from set A to set B is said to be a function or mapping,
If every element of set A is associated with unique element of set B,
The mapping or function ‘f’ from A to B is denoted by f:A→A,
If f is a function from A to B and x ϵ A, then f(x) ϵ B where f(x) is called the image of x under f and x is called the preimage of f(x) under ‘f’.
Thus, for a mapping from A to B,
A and B should be non-empty.
Each element of A should have an image in B.
No element of ‘A’ should have more than one image in ‘B’.
Find the number of one-one maps and the total number of mappings from A to A.
$\therefore {\text{Required Probability = }}\dfrac{{{\text{Number of one - one map}}}}{{{\text{Total number of maps}}}}$
Complete step by step solution:
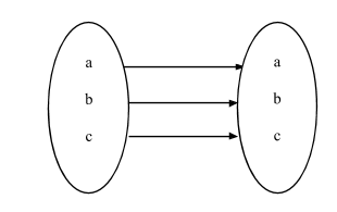
∴ A has 3-elements. Let it be a, b, c
∴ f :A→A
∴Number of one to one mapping $ = 3 \times 2 \times 1$
$ = 6$
And total number of mapping $ = 3 \times 3 \times 3$
$ = 27$
∴ Probability that the mapping is one to one is $ = \dfrac{{{\text{Number of one to one maps}}}}{{{\text{Total number of maps}}}}$
$ = \dfrac{2}{9}$
∴ Option (D) is correct
Note:
Every mapping is a relation but every relation may not be a mapping. If a set has n-elements and a mapping f is defined on A. Therefore, number of one-to-one mapping is \[\left| \!{\underline {\,
n \,}} \right. \]and the total number of mappings is\[{\left( n \right)^n}\]. Some important points to be keep in mind:
Two or more elements of A may have the same image in B.
f: x →y means that under the function of ‘f’ from A to B, an element x of A has image y in B.
It is necessary that every f image is in B but there may be some elements in B which are not f images of any element of A.
If A and B are two non-empty sets, then a relation ‘f’ from set A to set B is said to be a function or mapping,
If every element of set A is associated with unique element of set B,
The mapping or function ‘f’ from A to B is denoted by f:A→A,
If f is a function from A to B and x ϵ A, then f(x) ϵ B where f(x) is called the image of x under f and x is called the preimage of f(x) under ‘f’.
Thus, for a mapping from A to B,
A and B should be non-empty.
Each element of A should have an image in B.
No element of ‘A’ should have more than one image in ‘B’.
Find the number of one-one maps and the total number of mappings from A to A.
$\therefore {\text{Required Probability = }}\dfrac{{{\text{Number of one - one map}}}}{{{\text{Total number of maps}}}}$
Complete step by step solution:
∴ A has 3-elements. Let it be a, b, c
∴ f :A→A
∴Number of one to one mapping $ = 3 \times 2 \times 1$
$ = 6$
And total number of mapping $ = 3 \times 3 \times 3$
$ = 27$
∴ Probability that the mapping is one to one is $ = \dfrac{{{\text{Number of one to one maps}}}}{{{\text{Total number of maps}}}}$
$ = \dfrac{2}{9}$
∴ Option (D) is correct
Note:
Every mapping is a relation but every relation may not be a mapping. If a set has n-elements and a mapping f is defined on A. Therefore, number of one-to-one mapping is \[\left| \!{\underline {\,
n \,}} \right. \]and the total number of mappings is\[{\left( n \right)^n}\]. Some important points to be keep in mind:
Two or more elements of A may have the same image in B.
f: x →y means that under the function of ‘f’ from A to B, an element x of A has image y in B.
It is necessary that every f image is in B but there may be some elements in B which are not f images of any element of A.
Recently Updated Pages
Master Class 12 Business Studies: Engaging Questions & Answers for Success

Master Class 12 Economics: Engaging Questions & Answers for Success

Master Class 12 English: Engaging Questions & Answers for Success

Master Class 12 Maths: Engaging Questions & Answers for Success

Master Class 12 Social Science: Engaging Questions & Answers for Success

Master Class 12 Chemistry: Engaging Questions & Answers for Success

Trending doubts
What is meant by exothermic and endothermic reactions class 11 chemistry CBSE

Which animal has three hearts class 11 biology CBSE

10 examples of friction in our daily life

One Metric ton is equal to kg A 10000 B 1000 C 100 class 11 physics CBSE

1 Quintal is equal to a 110 kg b 10 kg c 100kg d 1000 class 11 physics CBSE

Difference Between Prokaryotic Cells and Eukaryotic Cells

