
A cyclic molecule that is a constitutional isomer of cyclohexane is:
(D) All of the above
Answer
547.2k+ views
Hint:To solve this we must know that the molecules having the same molecular formula but different connectivity of atoms are known as constitutional isomers. We know that the molecular formula of cyclohexane is ${{\text{C}}_{\text{6}}}{{\text{H}}_{{\text{12}}}}$. We have to determine the molecular formula of each of the given molecules.
Complete answer:
We know that the molecules having the same molecular formula but different connectivity of atoms are known as constitutional isomers. If both the molecules have the same number of each atom and have different arrangements then they are said to be constitutional isomers of each other.
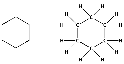
First let us draw the structure and molecular formula of cyclohexane.
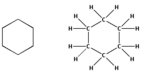
The molecular formula of cyclohexane is ${{\text{C}}_{\text{6}}}{{\text{H}}_{{\text{12}}}}$. The structure of cyclohexane is as follows:
We are given three compounds.
The structure of compound (A) is as follows:
The molecular formula of compound (A) is ${{\text{C}}_{\text{6}}}{{\text{H}}_{{\text{12}}}}$.
Thus, the compound (A) is a constitutional isomer of cyclohexane.
The structure of compound (B) is as follows:
The molecular formula of compound (B) is ${{\text{C}}_{\text{6}}}{{\text{H}}_{{\text{12}}}}$.
Thus, the compound (B) is a constitutional isomer of cyclohexane.
The structure of compound (C) is as follows:
The molecular formula of compound (C) is ${{\text{C}}_{\text{6}}}{{\text{H}}_{{\text{12}}}}$.
Thus, the compound (C) is a constitutional isomer of cyclohexane.
Thus, the cyclic molecules that are constitutional isomers of cyclohexane are (A), (B) and (C).
Thus, the correct option is (D) all of the above.
Note:Remember that if both the molecules have the same number of each atom and have different arrangements then they are said to be constitutional isomers of each other. In simple words, the molecules that have the same molecular formula but different structures are said to be constitutional isomers of each other.
Complete answer:
We know that the molecules having the same molecular formula but different connectivity of atoms are known as constitutional isomers. If both the molecules have the same number of each atom and have different arrangements then they are said to be constitutional isomers of each other.
First let us draw the structure and molecular formula of cyclohexane.
The molecular formula of cyclohexane is ${{\text{C}}_{\text{6}}}{{\text{H}}_{{\text{12}}}}$. The structure of cyclohexane is as follows:
We are given three compounds.
The structure of compound (A) is as follows:
The molecular formula of compound (A) is ${{\text{C}}_{\text{6}}}{{\text{H}}_{{\text{12}}}}$.
Thus, the compound (A) is a constitutional isomer of cyclohexane.
The structure of compound (B) is as follows:
The molecular formula of compound (B) is ${{\text{C}}_{\text{6}}}{{\text{H}}_{{\text{12}}}}$.
Thus, the compound (B) is a constitutional isomer of cyclohexane.
The structure of compound (C) is as follows:
The molecular formula of compound (C) is ${{\text{C}}_{\text{6}}}{{\text{H}}_{{\text{12}}}}$.
Thus, the compound (C) is a constitutional isomer of cyclohexane.
Thus, the cyclic molecules that are constitutional isomers of cyclohexane are (A), (B) and (C).
Thus, the correct option is (D) all of the above.
Note:Remember that if both the molecules have the same number of each atom and have different arrangements then they are said to be constitutional isomers of each other. In simple words, the molecules that have the same molecular formula but different structures are said to be constitutional isomers of each other.
Recently Updated Pages
Why are manures considered better than fertilizers class 11 biology CBSE

Find the coordinates of the midpoint of the line segment class 11 maths CBSE

Distinguish between static friction limiting friction class 11 physics CBSE

The Chairman of the constituent Assembly was A Jawaharlal class 11 social science CBSE

The first National Commission on Labour NCL submitted class 11 social science CBSE

Number of all subshell of n + l 7 is A 4 B 5 C 6 D class 11 chemistry CBSE

Trending doubts
Differentiate between an exothermic and an endothermic class 11 chemistry CBSE

10 examples of friction in our daily life

One Metric ton is equal to kg A 10000 B 1000 C 100 class 11 physics CBSE

Difference Between Prokaryotic Cells and Eukaryotic Cells

1 Quintal is equal to a 110 kg b 10 kg c 100kg d 1000 class 11 physics CBSE

State the laws of reflection of light

